电脑桌面
添加小米粒文库到电脑桌面
安装后可以在桌面快捷访问

【精品】高一数学 5.6平面向量的数量积及运算律(备课资料) 大纲人教版必修VIP免费

【精品】高一数学 5.6平面向量的数量积及运算律(备课资料) 大纲人教版必修_第1页
1/5
【精品】高一数学 5.6平面向量的数量积及运算律(备课资料) 大纲人教版必修_第2页
2/5
【精品】高一数学 5.6平面向量的数量积及运算律(备课资料) 大纲人教版必修_第3页
3/5
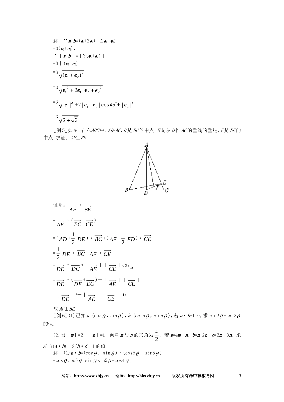
●备课资料1.概念辨析:正确理解向量夹角定义对于两向量夹角的定义,两向量的夹角指从同一点出发的两个向量所构成的较小的非负角,因对向量夹角定义理解不清而造成解题错误是一些易见的错误,如:[例1]已知△ABC中,a=5,b=8,C=60°,求BC·CA.对此题,有同学求解如下:解:如图, |BC|=a=5,|CA|=b=8,C=60°,∴BC·CA=|BC||CA|cosC=5×8cos60°=20.分析:上述解答,乍看正确,但事实上确实有错误,原因就在于没能正确理解向量夹角的定义,即上例中BC与CA两向量的起点并不同,因此,C并不是它们的夹角,而正确的夹角应当是C的补角120°.2.向量的数量积不满足结合律分析:若有(a·b)·c=a·(b·c),设a、b夹角为,b、c夹角为,则(a·b)·c=|a|·|b|cos·c,a·(b·c)=a·|b||c|cos.∴若a=c,=,则|a|=|c|,进而有:(a·b)c=a·(b·c)这是一种特殊情形,一般情况则不成立.举反例如下:已知|a|=1,|b|=1,|c|=2,a与b夹角是60°,b与c夹角是45°,则:(a·b)·c=(|a||b|cos60°)·c=21c,a·(b·c)=(|b||c|cos45°)·a=a而21c≠a,故(a·b)·c≠a·(b·c)3.等式的性质“实数a、b、c,且ab=ac,a≠0推出b=c”这一性质在向量推理中不正确.[例2]举例说明a·b=a·c,且a≠0,推不出b=c.解:取|a|=1,|b|=22,a与b的夹角为45°,|c|=21,a与c的夹角为0°,显然a·b=a·c=21,但b≠c.网站:http://www.zbjy.cn论坛:http://bbs.zbjy.cn版权所有@中报教育网14.“如果ab=0,那么a,b中至少有一个为零”这一性质在向量推理中不正确.[例3]已知|a|=2,|b|=3,a与b的夹角为90°,求a·b.解:a·b=2×3×cos90°=0,显然a≠0,b≠0,由a·b=0可推出以下四种可能:①a=0,b≠0;②b=0,a≠0;③a=0且b=0;④a≠0且b≠0但a⊥b.●备课资料1.常用数量积运算公式在数量积运算律中,有两个形似实数的完全平方和(差)公式在解题中的应用较为广泛.即(a+b)2=a2+2a·b+b2,(a-b)2=a2-2a·b+b2上述两公式以及(a+b)·(a-b)=a2-b2这一类似于实数平方差的公式在解题过程中可以直接应用.2.应用举例[例1]已知|a|=2,|b|=5,a·b=-3,求|a+b|,|a-b|.解: |a+b|2=(a+b)2=a2+2a·b+b2=22+2×(-3)+52=23∴|a+b|=23, (|a-b|)2=(a-b)2=a2-2a·b+b2=22-2×(-3)+52=35,∴|a-b|=35.[例2]已知|a|=8,|b|=10,|a+b|=16,求a与b的夹角(精确到1°).解: (|a+b|)2=(a+b)2=a2+2a·b+b2=|a|2+2|a||b|cos+|b|2∴162=82+2×8×10cos+102,∴cos=4023,∴≈55°[例3]在△ABC中,AB=a,BC=b,且a·b<0,则△ABC的形状是()A.锐角三角形B.直角三角形C.钝角三角形D.不能确定分析:此题主要考查两向量夹角的概念,应避免由a·b=|a||b|cosB<0得cosB<0,进而得B为钝角,从而错选C.解:由两向量夹角的概念,a与b的夹角应是180°-B a·b=|a||b|cos(180°-B)=-|a||b|cosB<0∴cosB>0又因为B∈(0°,180°)所以B为锐角.又由于角B不一定最大,故三角形形状无法判定.所以应选D.[例4]设e1、e2是夹角为45°的两个单位向量,且a=e1+2e2,b=2e1+e2,试求:|a+b|的值.分析:此题主要考查学生对单位向量的正确认识.网站:http://www.zbjy.cn论坛:http://bbs.zbjy.cn版权所有@中报教育网2解: a+b=(e1+2e2)+(2e1+e2)=3(e1+e2),∴|a+b|=|3(e1+e2)|=3|(e1+e2)|=3221)(ee=32221212eeee=3222121||45cos||||2||eeee=322.[例5]如图,在△ABC中,AB=AC,D是BC的中点,E是从D作AC的垂线的垂足,F是DE的中点.求证:AF⊥BE.证明:AF·BE=AF·(BC+CE)=(AD+21DE)·BC+(AE+21ED)·CE=21DE·BC+AE·CE=DE·DC+|AE||CE|cos=DE·(DE+EC)-|AE||CE|=|DE|2-|AE||CE|=0故AF⊥BE.[例6](1)已知a=(cos,sin),b=(cos5,sin5),若a·b+1=0,求sin2+cos2的值.(2)设|m|=2,|n|=1,向量m与n的夹角为2,若a=4m-n,b=m+2n,c=2m-3n,求a2+3(a·b)-2(b·c)+1的值.解:(1)a·b...

1、当您付费下载文档后,您只拥有了使用权限,并不意味着购买了版权,文档只能用于自身使用,不得用于其他商业用途(如 [转卖]进行直接盈利或[编辑后售卖]进行间接盈利)。
2、本站所有内容均由合作方或网友上传,本站不对文档的完整性、权威性及其观点立场正确性做任何保证或承诺!文档内容仅供研究参考,付费前请自行鉴别。
3、如文档内容存在违规,或者侵犯商业秘密、侵犯著作权等,请点击“违规举报”。

碎片内容

【精品】高一数学 5.6平面向量的数量积及运算律(备课资料) 大纲人教版必修

您可能关注的文档

雨丝书吧+ 关注
实名认证
内容提供者

乐于和他人分享知识,从事历史教学,热爱教育,高度负责。

相关文档

确认删除?
VIP
微信客服
  • 扫码咨询
会员Q群
  • 会员专属群点击这里加入QQ群
客服邮箱
回到顶部