电脑桌面
添加小米粒文库到电脑桌面
安装后可以在桌面快捷访问

圆锥曲线定点、定直线、定值问题VIP免费

圆锥曲线定点、定直线、定值问题_第1页
1/7
圆锥曲线定点、定直线、定值问题_第2页
2/7
圆锥曲线定点、定直线、定值问题_第3页
3/7
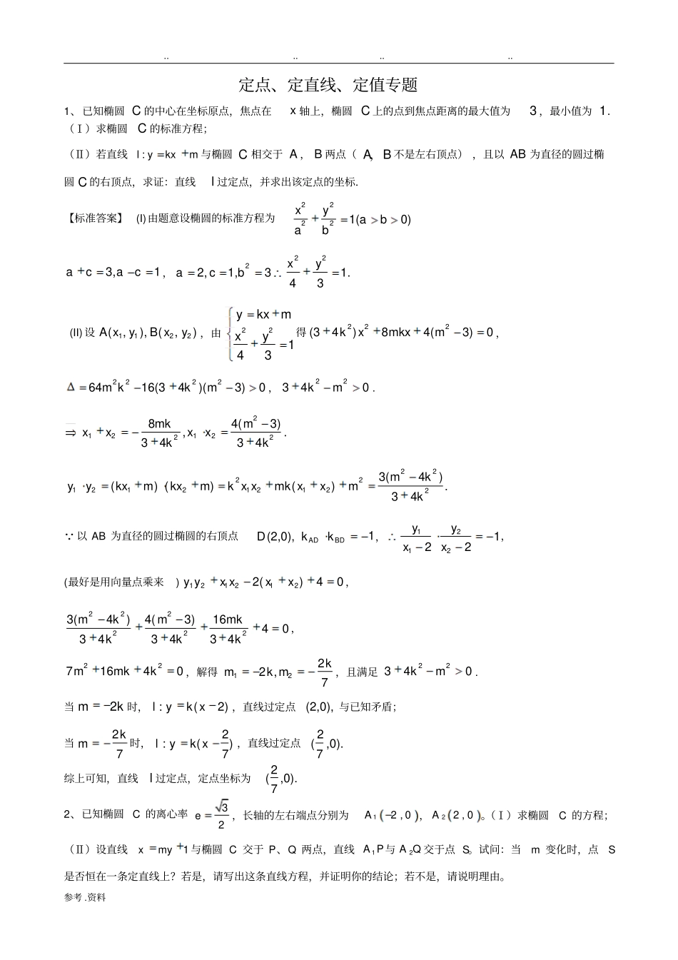
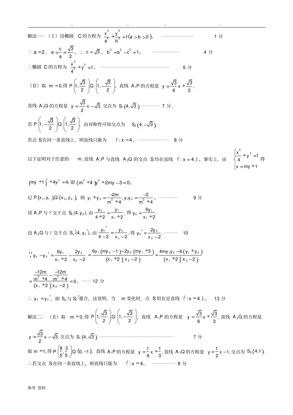
........参考.资料定点、定直线、定值专题1、已知椭圆C的中心在坐标原点,焦点在x轴上,椭圆C上的点到焦点距离的最大值为3,最小值为1.(Ⅰ)求椭圆C的标准方程;(Ⅱ)若直线l:ykxm与椭圆C相交于A,B两点(AB,不是左右顶点),且以AB为直径的圆过椭圆C的右顶点,求证:直线l过定点,并求出该定点的坐标.【标准答案】(I)由题意设椭圆的标准方程为22221(0)xyabab3,1acac,22,1,3acb221.43xy(II)设1122(,),(,)AxyBxy,由22143ykxmxy得222(34)84(3)0kxmkxm,22226416(34)(3)0mkkm,22340km.212122284(3),.3434mkmxxxxkk22221212121223(4)()()().34mkyykxmkxmkxxmkxxmk以AB为直径的圆过椭圆的右顶点(2,0),D1ADBDkk,1212122yyxx,(最好是用向量点乘来)1212122()40yyxxxx,2222223(4)4(3)1640343434mkmmkkkk,2271640mmkk,解得1222,7kmkm,且满足22340km.当2mk时,:(2)lykx,直线过定点(2,0),与已知矛盾;当27km时,2:()7lykx,直线过定点2(,0).7综上可知,直线l过定点,定点坐标为2(,0).72、已知椭圆C的离心率3e2,长轴的左右端点分别为1A2,0,2A2,0。(Ⅰ)求椭圆C的方程;(Ⅱ)设直线xmy1与椭圆C交于P、Q两点,直线1AP与2AQ交于点S。试问:当m变化时,点S是否恒在一条定直线上?若是,请写出这条直线方程,并证明你的结论;若不是,请说明理由。........参考.资料解法一:(Ⅰ)设椭圆C的方程为2222xy1ab0ab。⋯⋯⋯⋯⋯⋯⋯1分 a2,c3ea2,∴c3,222bac1。⋯⋯⋯⋯⋯⋯4分∴椭圆C的方程为222xy14。⋯⋯⋯⋯⋯⋯⋯⋯⋯⋯⋯⋯⋯⋯⋯5分(Ⅱ)取m0,得33P1,,Q1,22,直线1AP的方程是33yx,63直线2AQ的方程是3yx3,2交点为1S4,3.⋯⋯⋯⋯7分,若33P1,,Q1,22,由对称性可知交点为2S4,3.若点S在同一条直线上,则直线只能为:x4。⋯⋯⋯⋯⋯⋯⋯8分以下证明对于任意的m,直线1AP与直线2AQ的交点S均在直线:x4上。事实上,由22xy14xmy1得22my14y4,即22m4y2my30,记1122Px,y,Qx,y,则1212222m3yy,yym4m4。⋯⋯⋯⋯9分设1AP与交于点00S(4,y),由011yy,42x2得1016yy.x2设2AQ与交于点00S(4,y),由022yy,42x2得2022yy.x2⋯⋯⋯101200126y2yyyx2x21221126ymy12ymy3x2x21212124myy6yyx2x2221212m12mm4m40x2x2,⋯⋯12分∴00yy,即0S与0S重合,这说明,当m变化时,点S恒在定直线:x4上。13分解法二:(Ⅱ)取m0,得33P1,,Q1,22,直线1AP的方程是33yx,63直线2AQ的方程是3yx3,2交点为1S4,3.⋯⋯⋯⋯⋯⋯⋯⋯⋯⋯⋯⋯⋯⋯⋯⋯7分取m1,得83P,,Q0,155,直线1AP的方程是11yx,63直线2AQ的方程是1yx1,2交点为2S4,1.∴若交点S在同一条直线上,则直线只能为:x4。⋯⋯⋯⋯⋯8分........参考.资料以下证明对于任意的m,直线1AP与直线2AQ的交点S均在直线:x4上。事实上,由22xy14xmy1得22my14y4,即22m4y2my30,记1122Px,y,Qx,则1212222m3yy,yym4m4。⋯⋯⋯⋯⋯⋯9分1AP的方程是11yyx2,x22AQ的方程是22yyx2,x2消去y,得1212yyx2x2x2x2⋯①以下用分析法证明x4时,①式恒成立。要证明①式恒成立,只需证明12126y2y,x2x2即证12213ymy1ymy3,即证12122myy3yy.⋯⋯⋯⋯⋯⋯② 1212226m6m2myy3yy0,m4m4∴②式恒成立。这说明,当m变化时,点S恒在定直线:x4上。解法三:(Ⅱ)由22xy14xmy1得22my14y4,即22m4y2my30。记1122Px,y,Qx,y,则1212222m3yy,yym4m4。⋯⋯⋯⋯⋯6分1AP的方程是11yyx2,x22AQ的方程是22yyx2,x2⋯⋯7分由1122yyx2,x2yyx2,x2得1212yyx2x2,x2x2⋯⋯⋯⋯⋯⋯⋯9分即21122112yx2yx2x2yx2yx221122112ymy3ymy12ymy3ymy11221212myy3yy23yy112211232m2m3yym4m424.2m3yym4⋯⋯⋯⋯⋯⋯⋯⋯⋯⋯⋯⋯12分这说明,当m变化时,点S恒在定直线:x4上。⋯⋯⋯⋯⋯⋯13分3、已知椭圆E的中心在原点,焦点在x轴上,椭圆上的点到焦点的距离的最小值为21,离心率为2e2﹒(Ⅰ)求椭圆E的方程;(Ⅱ)过点1,0作直线交E于P、Q两点,试问:在x轴上是否存在一个定点M,MPMQ为定值?若存在,求出这个定点M的坐标;若不存在,请说明理由﹒........参考.资料解:(I)设椭圆E的方程为2222xy1ab,由已知得:ac21c2a2。。。。。2分a2c1222bac1椭圆E的方程为22xy12。。。。3分(Ⅱ)法一:假设存在符合条件的点M(m,0),又设1122P(x,y),Q(x,y),则:...

1、当您付费下载文档后,您只拥有了使用权限,并不意味着购买了版权,文档只能用于自身使用,不得用于其他商业用途(如 [转卖]进行直接盈利或[编辑后售卖]进行间接盈利)。
2、本站所有内容均由合作方或网友上传,本站不对文档的完整性、权威性及其观点立场正确性做任何保证或承诺!文档内容仅供研究参考,付费前请自行鉴别。
3、如文档内容存在违规,或者侵犯商业秘密、侵犯著作权等,请点击“违规举报”。

碎片内容

圆锥曲线定点、定直线、定值问题

爱的疯狂+ 关注
实名认证
内容提供者

该用户很懒,什么也没介绍

相关文档

确认删除?
VIP
微信客服
  • 扫码咨询
会员Q群
  • 会员专属群点击这里加入QQ群
客服邮箱
回到顶部