电脑桌面
添加小米粒文库到电脑桌面
安装后可以在桌面快捷访问

平面向量的应用VIP免费

平面向量的应用_第1页
1/26
平面向量的应用_第2页
2/26
平面向量的应用_第3页
3/26
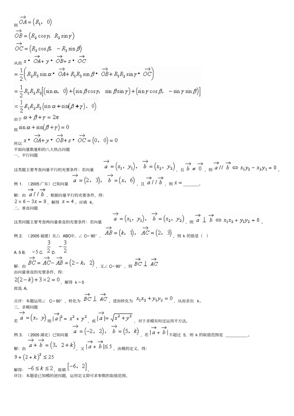
向量问题的坐标解法向量的坐标表示是将几何问题代数化,用坐标法解决向量问题思路清晰,操作简单方便,下举例说明。例1.设O在△ABC的内部且满足,则△ABC的面积与△AOC的面积之比为()A.2B.C.3D.解:如图1建立坐标系。图1设A(0,0),B(a,b),C(c,0),O(x,y),则因为即所以从而说明:原解答分别取AC、BC中点求解,同学们不易想到,而建立坐标系求解则轻松、自然。例2.四边形ABCD中,若,求。解:如图2建立坐标系。图2设,则代入已知条件得:即所以例3.设P为△ABC所在平面内一点,求取最小值时P点的位置。解:设则(其中m为常数)所以,当即P为△ABC的重心时,取得最小值。例4.P为△ABC所在平面内一点。求证:证明:如图3建立坐标系。图3设,则从而说明:原解答利用垂心的性质证之,要求较高,证法较烦,显然坐标解法相对简练。例5.O为△ABC内一点,记,求证:证明:如图4建立坐标系。图4设则从而由于故所以平面向量数量积的八大热点问题一、平行问题这类题主要考查向量平行的充要条件:若向量,且,则。例1.(2005广东)已知向量,且,则_______。解:由,根据向量平行的充要条件,得:,解得。应填4。二、垂直问题这类问题主要考查两向量垂直的充要条件:若向量,则。例2.(2005福建)在△ABC中,∠C=90°,,则k的值是()A.5B.C.D.解:由,又∠C=90°,则由向量垂直的充要条件,得:,解得k=5故选A。点评:本题运用∠C=90°,转化为,进而转化为,从而求出k。三、求模问题若则,或,对于求模有时还运用平方法。例3.(2005湖北)已知向量,若不超过5,则k的取值范围是__________。解:由,又,由模的定义,得:解得:,故填。评注:本题是已知模的逆向题,运用定义即可求参数的取值范围。例4.(1)(2004全国)已知均为单位向量,它们的夹角为60°,那么=()A.B.C.D.4(2)(2004湖南)已知向量,向量,则的最大值是___________。解:(1)所以,故选C。(2)由题意,知又则的最大值为4。评注:模的问题采用平方法能使过程简化。四、求夹角问题求夹角可用解决。例5.(2005北京)若,且,则向量与的夹角为()A.30°B.60°C.120°D.150°解:设所求两向量的夹角为θ,由,有,即又所以θ=120°,而选C。五、辩析型问题主要考查向量的数量积是向量间的一种乘法运算,结果是一个数量,注意与实数的乘法运算区别,特别是不满足结合律,消去律。例6.(2004湖北)已知为非零的平面向量。甲:,乙:,则()A.甲是乙的充分条件但不是必要条件B.甲是乙的必要条件但不是充分条件C.甲是乙的充要条件D.甲既不是乙的充分条件也不是乙的必要条件解:命题甲:由得从而,或,或。命题乙:故乙甲,但甲,故甲是乙的必要但不充分条件,而选B。六、求向量例7.(2004江苏)平面向量中,已知,且,则向量____________。解:设所成的角为又,则故向量共线并同向又,故七、求数量积例8.(2004浙江)已知平面上三点A、B、C满足,则的值等于___________。解法1:运用定义以上三式相加,得所求为解法2:整体处理由即得,故填。解法3:挖掘隐含。由平面上三点A,B,C构成以B为直角顶点的直角三角形,知故八、交汇问题是指向量与立几、解几、数列、三角等的交汇题,创新题。例9.(1)(2005上海)直角坐标平面xoy中,若定点A(1,2)与动点P(x,y)满足,则点P的轨迹方程是___________________。(2)(2005湖南)已知直线与圆相交于A、B两点,且,则___________。解:(1)由,有,即故应填(2)先由圆的几何性质,求得两向量的夹角是120°,则故填。评注:第(2)小题关键是运用几何法求出两向量的夹角,再运用向量的数量积公式即可。向量在代数中的应用向量作为工具性知识已列入中学教材之中,其应用价值已被广大师生认可。用向量知识解题,方法新颖、运算简捷,是启迪学生思维的有效途径之一。但向量是以几何的形式出现的,给人的感觉是在几何中应用广泛,其实用向量来解决代数中的一些问题也很方便。下面就介绍这方面的应用。1.等式证明证明等式一般说来都要进行繁杂的运算,如果等式具有向量代数某些特征时,应用向量知识较为简单。例1.已知,且x,y,z,a,b,c为非零实数,求证。...

1、当您付费下载文档后,您只拥有了使用权限,并不意味着购买了版权,文档只能用于自身使用,不得用于其他商业用途(如 [转卖]进行直接盈利或[编辑后售卖]进行间接盈利)。
2、本站所有内容均由合作方或网友上传,本站不对文档的完整性、权威性及其观点立场正确性做任何保证或承诺!文档内容仅供研究参考,付费前请自行鉴别。
3、如文档内容存在违规,或者侵犯商业秘密、侵犯著作权等,请点击“违规举报”。

碎片内容

平面向量的应用

爱的疯狂+ 关注
实名认证
内容提供者

该用户很懒,什么也没介绍

确认删除?
VIP
微信客服
  • 扫码咨询
会员Q群
  • 会员专属群点击这里加入QQ群
客服邮箱
回到顶部