电脑桌面
添加小米粒文库到电脑桌面
安装后可以在桌面快捷访问

微积分的在物理竞赛中地的应用VIP免费

微积分的在物理竞赛中地的应用_第1页
1/27
微积分的在物理竞赛中地的应用_第2页
2/27
微积分的在物理竞赛中地的应用_第3页
3/27
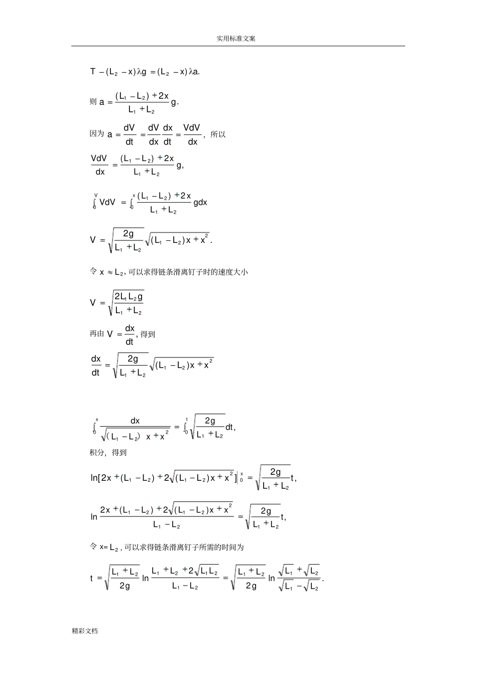
实用标准文案精彩文档求解在立体斜面上滑动的物体的速度一物体放在斜面上,物体与斜面间的摩擦因数恰好满足tg,为斜面的倾角。今使物体获得一水平速度0V而滑动,如图一,求:物体在轨道上任意一点的速度V与的关系,设为速度与水平线的夹角。解:物体在某一位置所受的力有:重力G,弹力N以及摩擦力f。摩擦力f总是与运动速度V的方向相反,其数值sincoscosmgmgtgmgNf重力在斜面上的分力为1G,如图二,将1G分解为两个分力:1G是1G沿轨迹切线方向的分力,sinsinsin11mgGG;1G是沿轨迹法向的分力,cossincos11mgGG,如图三。根据牛顿运动定律,得运动方程为mafG1(1)nmaG1(2)由(1),)1(sinsin)sinsinsin(1gmgmgma而,dtdVa得到,)1(sinsindtgdV(3)实用标准文案精彩文档式中是t的函数,但是这个函数是个未知函数,因此还不能对上式积分,要设法在与t中消去一个变量,才能积分,注意到dddsVVdSdt1(4)而dds表示曲线在该点的曲率半径,根据(2)式,2cossinVmmg(5)由式(3)(4)(5),可得到,)sec(dtgVdVdtgVdVVV00)sec(,积分,得到)sin1ln()ln(seccoslnln0tgVV,.sin10VV运用积分法求解链条的速度及其时间一条匀质的金属链条,质量为m,挂在一个光滑的钉子上,一边长度为1L,另一边长度为,2L而且120LL,如图一。试求:链条从静止开始滑离钉子时的速度和所需要的时间。解:设金属链条的线密度为.21LLm当一边长度为xL1,另一边长度为xL2时受力如图二所示,则根据牛顿运动定律,得出运动方程,)()(11axLTgxL实用标准文案精彩文档.)()(22axLgxLT则.2)(2121gLLxLLa因为dxVdVdtdxdxdVdtdVa,所以,2)(2121gLLxLLdxVdVxVgdxLLxLLVdV0212102)(.)(222121xxLLLLgV令,2Lx可以求得链条滑离钉子时的速度大小21212LLgLLV再由,dtdxV得到22121)(2xxLLLLgdtdx,20210221dtLLgxxLLdxtx)(积分,得到,2])(2)(2ln[21022121tLLgxxLLLLxx,2)(2)(2ln212122121tLLgLLxxLLLLx令x=2L,可以求得链条滑离钉子所需的时间为.ln22ln221212121212121LLLLgLLLLLLLLgLLt实用标准文案精彩文档求解棒下落过程中的最大速度在密度为1的液体上方有一悬挂的长为L,密度为2的均匀直棒,棒的下端刚与液面接触。今剪断细绳,棒在重力和浮力的作用下下沉,若21,求:棒下落过程中的最大速度。解:剪断细绳后,直棒在下沉过程中受到重力G和浮力F的作用,如图一所示。根据牛顿运动定律,有.dtdVmFmg(1)随着棒往下沉,浮力逐渐增大。当直棒所受合力为零,即mgF时,棒的加速度为零,速度最大。设棒达到最大速度时,棒浸入液体中的长度为1L,设棒的截面积为S,则有,211SLggSL解得,.121LL(2)取x坐标如图所示,则(1)式可以写为.212dtdVSLSxgSLg做变量代换,令,dxdVVdtdxdxdVdtdV代入上式,得到;)1(21VdVgdxLx两边积分,得到110021)1(VLVdVgdxLx得到,212121121)21(VLLggL将(2)式代入(3)式,得棒的最大速度为.121LgV实用标准文案精彩文档运用微分法求解阻尼平抛质量为m的物体,以初速为0V,方向与地面成0角抛出。如果空气的阻力不能忽略,并设阻力与速度成正比,即Vkf,k为大于零的常数。求:物体的运动轨道。解:根据受力情况,列出牛顿运动定律方程amfgm其分量式,,xxxmakVf(1)yymakVmg(2)将dtdVaxx代入式(1),得,dtdVmkVxx改写成,dtmkVdVxxxxVVtxxdtVdV00,mk两边积分,得到.cos00tmktmkxxeVeVV可见由于空气阻力的存在,x方向的速度不再是常数,而随时间逐渐衰减。由于,dtdxVx再积分,并以t=0时x=0,代入得到).1(cos)1(000tmktmkxekVekmVx(3)同理,由于,dtdVayy式(2)转化为),(yyyVkmgmkVmkgdtdV.dtmkVkmgdVyy积分,并以t=0时,000sinVVVyy代入,得到实用标准文案精彩文档.)sin(00kmgekmgVVtmky可见,y方向的速度也不再是匀减速的。再将上式对时间积分,并以t=0时y=0代入,得到.)1)(sin(00tkmgekmgVkmytmk(4)由(3)(4)两式消去t,得到有阻力时的轨道方程).cos1ln()cos1ln()cos(0220022000xmVkkgmxmVkkgmxkVmgtgy显然由于空气阻力的作用,抛体的轨道不再是简单的抛物线了,实际轨道将比理想轨道向左下方偏离,如图一。例如:以初速620m/s,仰角045发射的步枪子弹的射程,没有空气阻力时应为40km,而实际射程只有4km...

1、当您付费下载文档后,您只拥有了使用权限,并不意味着购买了版权,文档只能用于自身使用,不得用于其他商业用途(如 [转卖]进行直接盈利或[编辑后售卖]进行间接盈利)。
2、本站所有内容均由合作方或网友上传,本站不对文档的完整性、权威性及其观点立场正确性做任何保证或承诺!文档内容仅供研究参考,付费前请自行鉴别。
3、如文档内容存在违规,或者侵犯商业秘密、侵犯著作权等,请点击“违规举报”。

碎片内容

微积分的在物理竞赛中地的应用

文库响当当+ 关注
实名认证
内容提供者

该用户很懒,什么也没介绍

确认删除?
VIP
微信客服
  • 扫码咨询
会员Q群
  • 会员专属群点击这里加入QQ群
客服邮箱
回到顶部