电脑桌面
添加小米粒文库到电脑桌面
安装后可以在桌面快捷访问

指数函数与对数函数复习讲义(1)教师版VIP免费

指数函数与对数函数复习讲义(1)教师版_第1页
1/3
指数函数与对数函数复习讲义(1)教师版_第2页
2/3
指数函数与对数函数复习讲义(1)教师版_第3页
3/3
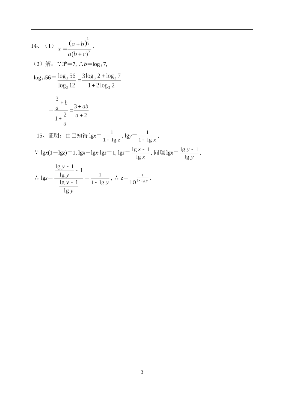
指对数运算复习讲义一、知识点梳理1.根式的性质:;2.正数的分数指数幂与根式的互化:3.指数的运算性质:(a>0,b>0,r,s∈R)1)aras=ar+s2)(ar)s=ars3)(ab)r=arbr4.对数的运算性质:如果a>0,a≠1,M>0,N>0,那么1)loga(MN)=logaM+logaN;2)3)4)5)二、典型例题【例1】(1)已知x+x-1=3,求下列各式的值:①②(2)计算:①lg14-2lg+lg7-lg18②③略解:(1)(2)0;【例2】已知,求的值。(用自然对数表示)略解:【例3】(1)已知,求的值。(2)若,且满足关系式,求的值。略解:(1)41(2)【例4】已知8a=10b=25c,求证:.证明:设8a=10b=25c=t,则=logt8,=logt10,=logt25,∴【选讲1】设满足方程:,求略解:设则又且,故【选讲2】设a、b同号,且,求的值。解:令,由条件于是练习答案与提示一、选择题CDBADBCC二、填空题9、10、1.11、{3}12、a<-3三、解答题13、(1)18;(2)1214、(1).(2)解:∵3b=7,∴b=log37,log1256==15、证明:由已知得lgx=,lgy=,∵lgx(1-lgz)=1,lgx-lgx·lgz=1,lgz=,同理lgx=,∴lgz==,∴z=.3

1、当您付费下载文档后,您只拥有了使用权限,并不意味着购买了版权,文档只能用于自身使用,不得用于其他商业用途(如 [转卖]进行直接盈利或[编辑后售卖]进行间接盈利)。
2、本站所有内容均由合作方或网友上传,本站不对文档的完整性、权威性及其观点立场正确性做任何保证或承诺!文档内容仅供研究参考,付费前请自行鉴别。
3、如文档内容存在违规,或者侵犯商业秘密、侵犯著作权等,请点击“违规举报”。

碎片内容

指数函数与对数函数复习讲义(1)教师版

您可能关注的文档

远洋启航书店+ 关注
实名认证
内容提供者

从事历史教学,热爱教育,高度负责。

确认删除?
VIP
微信客服
  • 扫码咨询
会员Q群
  • 会员专属群点击这里加入QQ群
客服邮箱
回到顶部