电脑桌面
添加小米粒文库到电脑桌面
安装后可以在桌面快捷访问

湖南省浏阳一中11-12学年高一数学下学期第一次阶段性考试【会员独享】VIP免费

湖南省浏阳一中11-12学年高一数学下学期第一次阶段性考试【会员独享】_第1页
1/5
湖南省浏阳一中11-12学年高一数学下学期第一次阶段性考试【会员独享】_第2页
2/5
湖南省浏阳一中11-12学年高一数学下学期第一次阶段性考试【会员独享】_第3页
3/5
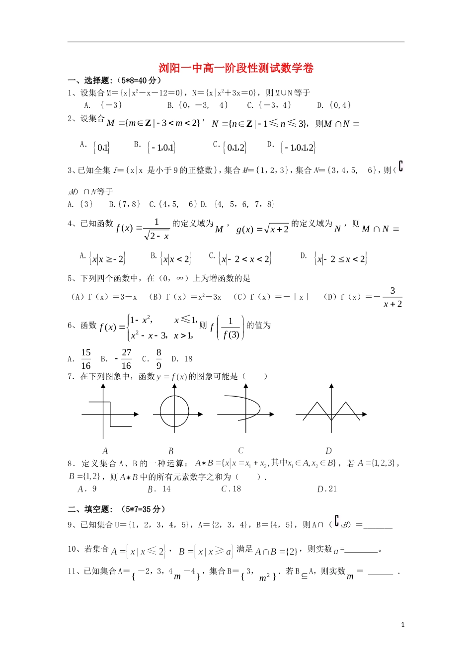
浏阳一中高一阶段性测试数学卷一、选择题:(5*8=40分)1、设集合M={x|x2-x-12=0},N={x|x2+3x=0},则M∪N等于A.{-3}B.{0,-3,4}C.{-3,4}D.{0,4}2、设集合{|32}MmmZ,{|13}NnnMNZ则,≤≤A.01,B.101,,C.012,,D.1012,,,3、已知全集I={x|x是小于9的正整数},集合M={1,2,3},集合N={3,4,5,6},则(IM)∩N等于A.{3}B.{7,8}C.{4,5,6}D.{4,5,6,7,8}4、已知函数xxf21)(的定义域为M,2)(xxg的定义域为N,则NMA.2xxB.2xxC.22xxD.22xx5、下列四个函数中,在(0,∞)上为增函数的是(A)f(x)=3-x(B)f(x)=x2-3x(C)f(x)=-|x|(D)f(x)=-23x6、函数2211()31xxfxxxx,,,,≤则1(3)ff的值为A.1516B.2716C.89D.187.在下列图象中,函数的图象可能是()8.定义集合A、B的一种运算:,若,,则中的所有元素数字之和为()..9.14.18.21二、填空题:(5*7=35分)9、已知集合U={1,2,3,4,5},A={2,3,4},B={4,5},则A∩(UB)=_______10、若集合,满足,则实数=。11、已知集合A={-2,3,4m-4},集合B={3,2m}.若BA,则实数m=.112、已知f(x)=05062xxxx,若f(x)=10,则x=________________13.已知,则14.定义在(-1,1)上的函数是减函数,且满足,则实数取值范围是。15、已知f(x)是偶函数,当x<0时,f(x)=x(2x-1),则当x>0时,f(x)=__________浏阳一中高一阶段性测试卷(数学)答卷一选择题:题号12345678答案二填空题:9__________________10_______________11_________________12__________________13__________________14_______________15____________________三解答题:16、(12分)已知全集,集合,(1)用列举法表示集合A与B;(2)求及。217、(12分)若4,12,2xxA,9,1,5xxB,9AB,求BA。18、(12分)已知二次函数,分别求下列条件下函数的值域:(1);(2);(3)。19、(13分)已知函数且此函数图象过点(1,5).(1)求实数m的值;(2)判断奇偶性;(3)判断函数在上的单调性?并用定义证明你的结论.320、(13分)如图,在边长为4的正方形的边上有动点,从点开始,沿折线向点运动,设点移动的路程为,面积为.(1)求函数的解析式;(2)写出函数的值域。21、(13分)设定义在R上的函数,对任意有,且当时,恒有,若.(1)求;(2)判断该函数的奇偶性;(3)求证:时为单调递增函数.(4)解不等式.4数学答案1-8:BBCDDCDB9-15:,2,2,-2,-26,,16(1)(2)1718(1)(2)(3)19(1)m=4,(2)奇函数,(3)略20(1)(2)21(1)(2)奇函数(3)单调递增(4)5

1、当您付费下载文档后,您只拥有了使用权限,并不意味着购买了版权,文档只能用于自身使用,不得用于其他商业用途(如 [转卖]进行直接盈利或[编辑后售卖]进行间接盈利)。
2、本站所有内容均由合作方或网友上传,本站不对文档的完整性、权威性及其观点立场正确性做任何保证或承诺!文档内容仅供研究参考,付费前请自行鉴别。
3、如文档内容存在违规,或者侵犯商业秘密、侵犯著作权等,请点击“违规举报”。

碎片内容

湖南省浏阳一中11-12学年高一数学下学期第一次阶段性考试【会员独享】

您可能关注的文档

远洋启航书店+ 关注
实名认证
内容提供者

从事历史教学,热爱教育,高度负责。

确认删除?
VIP
微信客服
  • 扫码咨询
会员Q群
  • 会员专属群点击这里加入QQ群
客服邮箱
回到顶部