电脑桌面
添加小米粒文库到电脑桌面
安装后可以在桌面快捷访问

辽宁省沈阳二中09-10学年高一数学下学期4月月考新人教版【会员独享】VIP免费

辽宁省沈阳二中09-10学年高一数学下学期4月月考新人教版【会员独享】_第1页
1/8
辽宁省沈阳二中09-10学年高一数学下学期4月月考新人教版【会员独享】_第2页
2/8
辽宁省沈阳二中09-10学年高一数学下学期4月月考新人教版【会员独享】_第3页
3/8
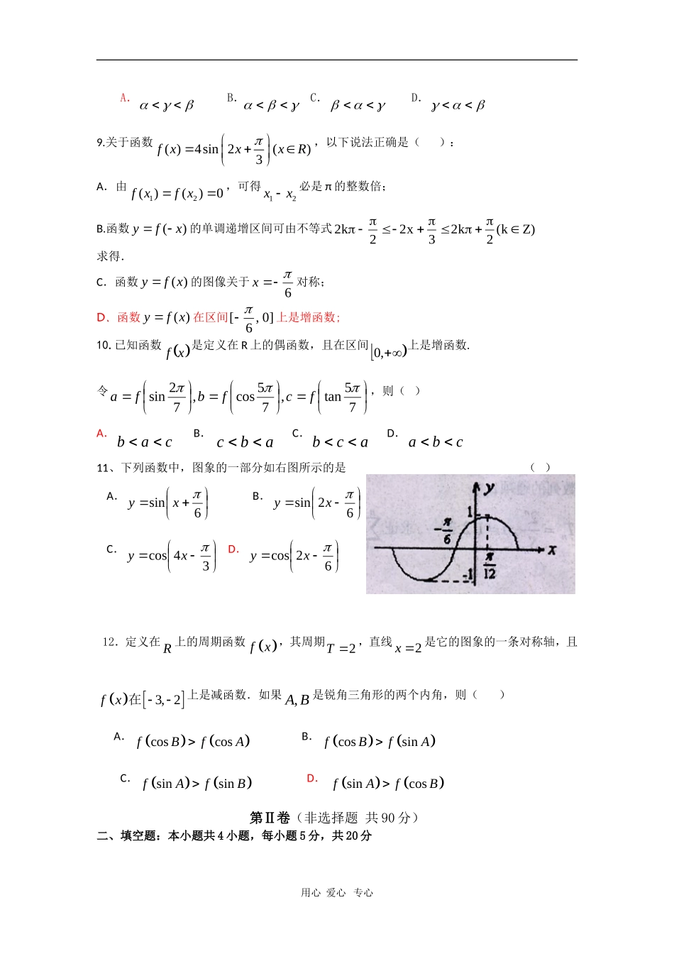
沈阳二中2009----2010学年度下学期四月月考高一(12届)数学试题考试时间:120分钟总分:150分第Ⅰ卷(选择题共60分)一.选择题:本小题12小题,每小题5分,共60分.在每小题给出的四个选项中,只有一项是符合题目要求的.1.若2|228,||log|1xAxZBxRx,则RACB的元素个数为().A0.B1.C2.D32.已知变量x、y满足约束条件xyyxxyx则,07,1,02的取值范围是()A.]6,59[B.,659,C.,63,D.[3,6]3.已知点(1,1)在直线20(0,0)axbyab上,则11ab的最小值为().A1.B2.C3.D44.已知角的终边经过点P(3,4aa)(0a),则2sincos的值为()A.25或25B.25或1C.1或-1D.15.已知81cossin,且2345,则cossin的值为()A.23B.23C.43D.436.给出下列命题:①存在实数x使得sincos1xx成立②对任意实数x都有2sin1sinxx③对任意1(0,),tan22tanxxx④存在实数x,使2cossinxx其中真命题为()A.③B.③④C.②③④D.①②③④7.设,20若cos3sin,则的取值范围是()A.2,3B.),3(C.)34,3(D.()23,3(8.已知43cos,2tan,31sin),2,0(,,且,则()用心爱心专心A.B.C.D.9.关于函数()4sin2()3fxxxR,以下说法正确是():A.由12()()0fxfx,可得12xx必是π的整数倍;B.函数()yfx的单调递增区间可由不等式)Zk(2k23x22k2求得.C.函数()yfx的图像关于6x对称;D.函数()yfx在区间]0,6[上是增函数;10.已知函数xf是定义在R上的偶函数,且在区间,0上是增函数.令75tan,75cos,72sinfcfbfa,则()A.cabB.abcC.acbD.cba11、下列函数中,图象的一部分如右图所示的是()A.6sinxyB.62sinxyC.34cosxyD.62cosxy12.定义在R上的周期函数fx,其周期2T,直线2x是它的图象的一条对称轴,且3,2fx在上是减函数.如果,AB是锐角三角形的两个内角,则()A.coscosfBfAB.cossinfBfAC.sinsinfAfBD.sincosfAfB第Ⅱ卷(非选择题共90分)二、填空题:本小题共4小题,每小题5分,共20分用心爱心专心13.将函数)32sin(2)(xxf图象上每一个点的横坐标扩大为原来的2倍,所得图象所对应的函数解析式为;若将)(xf的图象沿x轴向左平移m个单位(0m),所得函数的图象关于y轴对称,则m的最小值为.14.已知x,y都是实数,且0)1()2(22yx,则)415tan()325cos(yx的值为_________。15、给出下列命题:(1)函数)23sin(xy是偶函数(2)8x是函数)452sin(xy的一条对称轴方程(3)若、是第一象限的角,且,则sinsin(4)在ABC中,若AB,则sinsinAB;反之若sinsinAB,则AB其中正确命题的序号是________________________________16、已知对任意(0,)x,不等式022axx恒成立,则实数a的取值范围是__________三、解答题:本小题共6小题,共70分。解答应写出文字说明,证明过程或演算步骤.17.(本小题满分10分)已知函数.|2||1|)(axxxf(1)当5a时,求函数)(xf的定义域;(2)若函数)(xf的定义域为R,试求a的取值范围。18.(本小题满分12分)二中组织南北两校学生,利用周日时间去希望小学参加献爱心活动,南北两校均有同学参加。已知南校区的每位同学往返车费是3元,每人可为5名小学生服务;北校区的每位同学往返车费是5元,每人可为3位小学生服务。如果要求北校区参加活动的同学比南校区的同学多,且两校区同学去希望小学的往返总车费不超过37元。怎样安排南北两校参与活动同学的人数,才能使受到服务的小学生最多?受到服务的小学生最多是多少?19.(本小题满分12分)已知函数f(x))32sin(...

1、当您付费下载文档后,您只拥有了使用权限,并不意味着购买了版权,文档只能用于自身使用,不得用于其他商业用途(如 [转卖]进行直接盈利或[编辑后售卖]进行间接盈利)。
2、本站所有内容均由合作方或网友上传,本站不对文档的完整性、权威性及其观点立场正确性做任何保证或承诺!文档内容仅供研究参考,付费前请自行鉴别。
3、如文档内容存在违规,或者侵犯商业秘密、侵犯著作权等,请点击“违规举报”。

碎片内容

辽宁省沈阳二中09-10学年高一数学下学期4月月考新人教版【会员独享】

您可能关注的文档

远洋启航书店+ 关注
实名认证
内容提供者

从事历史教学,热爱教育,高度负责。

确认删除?
VIP
微信客服
  • 扫码咨询
会员Q群
  • 会员专属群点击这里加入QQ群
客服邮箱
回到顶部