电脑桌面
添加小米粒文库到电脑桌面
安装后可以在桌面快捷访问

江苏省如东县08-09学年高一数学上学期期末调研考试 新人教版VIP免费

江苏省如东县08-09学年高一数学上学期期末调研考试 新人教版_第1页
1/10
江苏省如东县08-09学年高一数学上学期期末调研考试 新人教版_第2页
2/10
江苏省如东县08-09学年高一数学上学期期末调研考试 新人教版_第3页
3/10
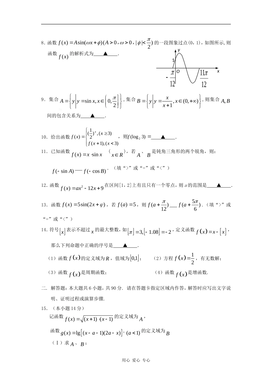
如东县2008~2009学年第一学期期末调研考试试卷高一数学一.填空题:本大题共14小题,每小题5分,共70分.不需写出解答过程,请把答案直接填写在答题卡相应位置上.1.已知全集1,2,3,4,5U,集合1,2,3A,集合ABU,集合AB,则UCB▲.2.化简:sin168sin72sin102sin198▲.3.已知函数()ygx(1,1)xmm为奇函数,则函数4()5fxxmx的奇偶性为▲.4.若角120°的终边上有一点(4,)a,则a的值是▲.5.计算:5121log224lg5lg2lg4159=▲.6.已知函数3ykx(k为参数)为实数集R上的减函数,则函数sinykx(,)2x的单调性为▲.7.已知轮船A和轮船B同时离开C岛,A向北偏东25方向行驶,B向西偏北55方向行驶,若A的航行速度为25/海里小时,B的速度是A的35,一小时后,A,B两船的距离为▲海里.用心爱心专心注意事项考生在答题前请认真阅读本注意事项及各题答题要求1.本试卷共4页,包含填空题(第1题~第14题,共70分)、解答题(第15~20题,共90分)。本次考试时间120分钟,满分160分、考试结束后,请将答题卡交回。2.答题前,请考生务必将自己的姓名、班级、学号、考试证号用0.5毫米的黑色签字笔写在答题卡上相应的位置,并将考试证号用2B铅笔正确填涂在答题卡的相应位置。3.答题时请用0.5毫米的黑色签字笔在答题卡指定区域作答。在试卷或草稿纸上作答一律无效。4.如有作图需要,可用2B铅笔作图,并请加黑加粗,描写清楚。8.函数()sin()(00||)2fxAxA,,的一段图象过点(0,1),如图所示,则函数()fx的解析式为▲.9.集合sin,0,2Ayyxx,集合,(0,)1xByyxx,则集合,AB间的包含关系为▲.10.给出函数)3(log)3(),1()3(,)21()(2fxxfxxfx,则▲.11.已知函数()sinfxxx(xR),若A、B是钝角三角形的两个锐角,则:(sin)fA(cos)fB.(填“>”或“=”或“<”)12.函数2()129fxaxx在区间[1,2]上有且只有一个零点,则a的范围是▲.13.函数)2sin(5)(xxf,若5)(af,则)12(af)65(af.(填“>”或“=”或“<”)14.符号x表示不超过x的最大整数,如208.1,3,定义函数fxxx,那么下列命题中正确的序号是▲.(1)函数fx的定义域为R,值域为1,0;(2)方程12fx,有无数解;(3)函数fx是周期函数;(4)函数fx是增函数.二.解答题:本大题共6小题,共90分.请在答题卡指定区域内作答,解答时应写出文字说明、证明过程或演算步骤.15.(本小题14分)记函数()(1)(1)fxxx的定义域为A,函数()lg(1)(2)gxxaax,(1)a的定义域为B(Ⅰ)求A、B;用心爱心专心121211yxO1(Ⅱ)若BA,求实数a的取值范围.16.(本小题14分)已知函数2()23sinsin(2)3fxxx(Ⅰ)求函数)(xf的最小正周期及单调增区间;(Ⅱ)设∈(0,),f(2)=123,求sin的值;(Ⅲ)若0,2x,函数)(xf的最大值.17.(本小题14分)在ABC中,若31sincos2BB(1)求角B的大小;(2)又若tantan33AC,且AC,求角A的大小.18.(本小题16分)定义在(0,)上的函数()fx,对于任意的,(0,)mn,都有()()()fmnfmfn成立,当1x时,0)(xf.(Ⅰ)计算(1)f;(Ⅱ)证明()fx在(0,)上是减函数;(Ⅲ)当1(2)2f时,求满足2(3)1fxx的变量x的取值范围.用心爱心专心19.(本小题16分)某矩形花园ABCD,2AB,3AD,H是AB的中点,在该花园中有一花圃其形状是以H为直角顶点的内接Rt△HEF,其中E、F分别落在线段BC和线段AD上如图.分别记BHE为,EHFRt的周长为l,EHFRt的面积为S(1)试求S的取值范围;(2)为何值时l的值为最小;并求l的最小值.20.(本小题16分)已知函数4)3()(2xaaxxf.(1)若)(xfy的两个零点为,,且满足0<<2<<4,求实数a的取值范围;(2)若函数)(log1xfya存在最值,求实数a的取值范围;并指出最值是最大值还是最小值用心爱心...

1、当您付费下载文档后,您只拥有了使用权限,并不意味着购买了版权,文档只能用于自身使用,不得用于其他商业用途(如 [转卖]进行直接盈利或[编辑后售卖]进行间接盈利)。
2、本站所有内容均由合作方或网友上传,本站不对文档的完整性、权威性及其观点立场正确性做任何保证或承诺!文档内容仅供研究参考,付费前请自行鉴别。
3、如文档内容存在违规,或者侵犯商业秘密、侵犯著作权等,请点击“违规举报”。

碎片内容

江苏省如东县08-09学年高一数学上学期期末调研考试 新人教版

您可能关注的文档

远洋启航书店+ 关注
实名认证
内容提供者

从事历史教学,热爱教育,高度负责。

确认删除?
VIP
微信客服
  • 扫码咨询
会员Q群
  • 会员专属群点击这里加入QQ群
客服邮箱
回到顶部