电脑桌面
添加小米粒文库到电脑桌面
安装后可以在桌面快捷访问

广东省瓷都中学08-09学年高三数学理第03周晚练(080916)-三角VIP免费

广东省瓷都中学08-09学年高三数学理第03周晚练(080916)-三角_第1页
1/3
广东省瓷都中学08-09学年高三数学理第03周晚练(080916)-三角_第2页
2/3
广东省瓷都中学08-09学年高三数学理第03周晚练(080916)-三角_第3页
3/3
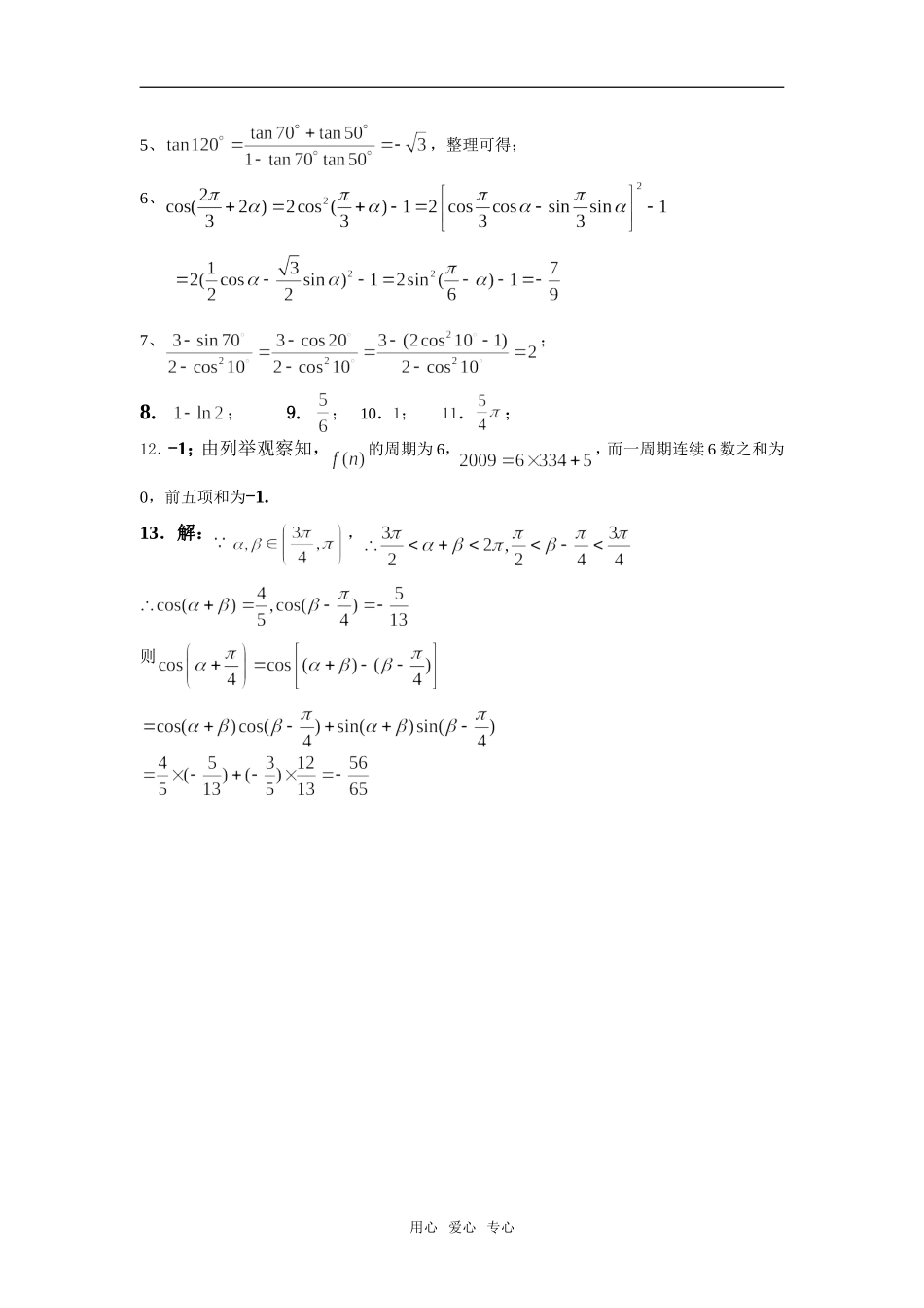
0809高三数学(理)第三周晚练(080916)---三角班级:________姓名:______________座号:_______评分:一.选择题:(每小题7分)(答案填在后面表格)1.若点P在的终边上,且OP=2,则点P的坐标()A.B.C.D.2.已知,那么下列命题成立的是()A.若、是第一象限角,则B.若、是第二象限角,则C.若、是第三象限角,则D.若、是第四象限角,则3.已知点P在第一象限,则在内,角的取值范围()A.B.C.D.4.(05全国卷)设,且,则()A.B.C.D.5.的值是()A.B.C.D.6.若,则()A.B.C.D.7.()A.B.C.D.二.填空题:(每小题7分)用心爱心专心8.已知,则____________.9.函数的图象与轴所围成的封闭图形的面积等于__________.10.计算:_____________.11.已知是方程的两根,且,则=.12.已知,则的值为________.三.解答题(本小题16分)13.(2006年重庆卷)已知,sin()=-sin求cos.0809高三数学(理)第三周晚练(080916)---三角答案:题号1234567答案DDBCDAC提示:2、特殊值法或借用三角函数线.4、由,得,即;用心爱心专心5、,整理可得;6、7、;8.;9.;10.1;11.;12.-1;由列举观察知,的周期为6,,而一周期连续6数之和为0,前五项和为-1.13.解:,则用心爱心专心

1、当您付费下载文档后,您只拥有了使用权限,并不意味着购买了版权,文档只能用于自身使用,不得用于其他商业用途(如 [转卖]进行直接盈利或[编辑后售卖]进行间接盈利)。
2、本站所有内容均由合作方或网友上传,本站不对文档的完整性、权威性及其观点立场正确性做任何保证或承诺!文档内容仅供研究参考,付费前请自行鉴别。
3、如文档内容存在违规,或者侵犯商业秘密、侵犯著作权等,请点击“违规举报”。

碎片内容

广东省瓷都中学08-09学年高三数学理第03周晚练(080916)-三角

您可能关注的文档

远洋启航书店+ 关注
实名认证
内容提供者

从事历史教学,热爱教育,高度负责。

确认删除?
VIP
微信客服
  • 扫码咨询
会员Q群
  • 会员专属群点击这里加入QQ群
客服邮箱
回到顶部