电脑桌面
添加小米粒文库到电脑桌面
安装后可以在桌面快捷访问

公学08-09学年第一学期期中考试试题参考解答VIP免费

公学08-09学年第一学期期中考试试题参考解答_第1页
1/3
公学08-09学年第一学期期中考试试题参考解答_第2页
2/3
公学08-09学年第一学期期中考试试题参考解答_第3页
3/3
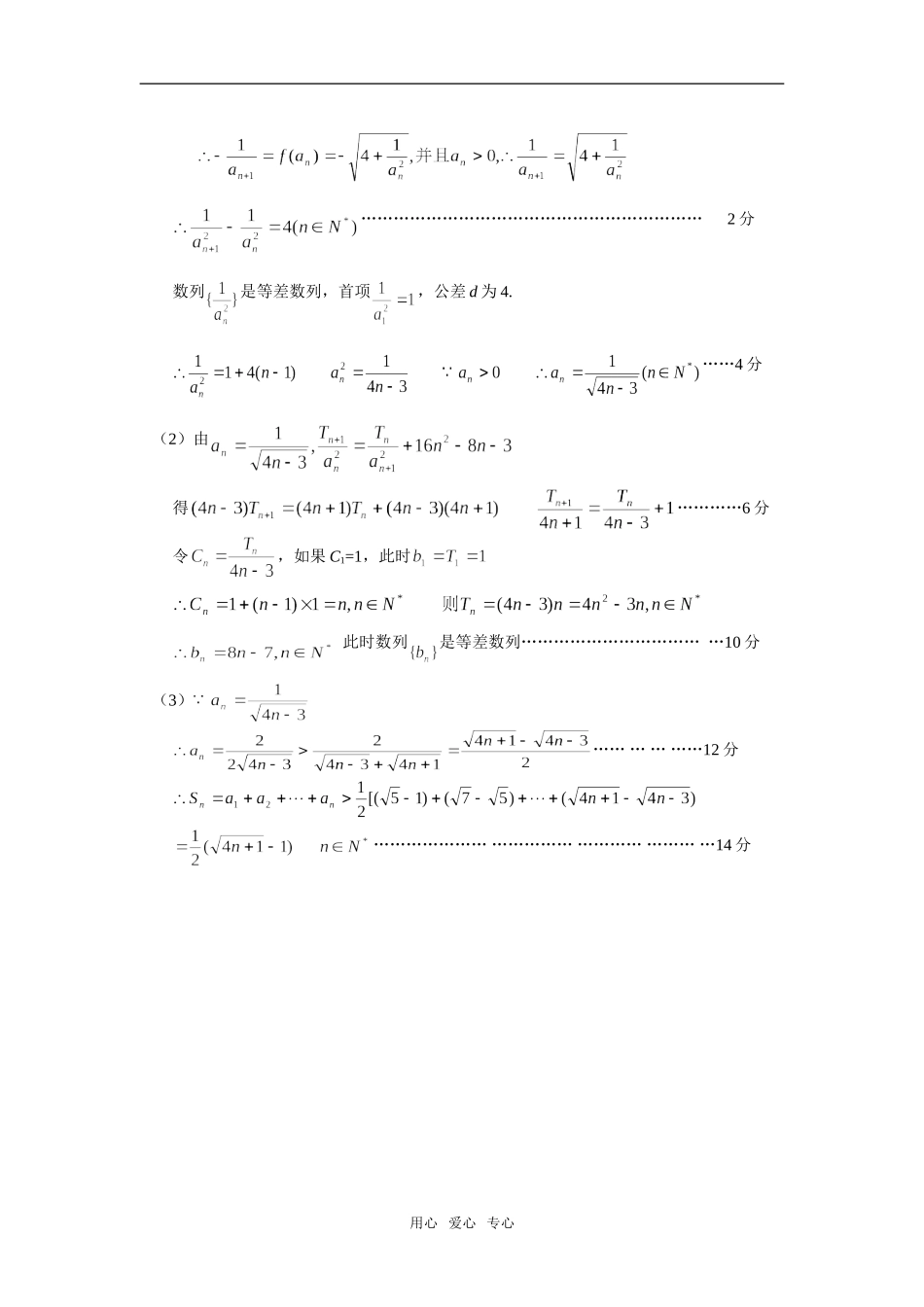
石岩公学高中部2008-2009学年第一学期期中考试试题高三数学(理科)参考解答1.A2.B3.D4.C5.C6.C7.C8.A9.1810.②③11.12.13.-214.①②③⑤15.解:(1)…………………………………………4分,………..6分此时,………………………………………………8分(2)由…………10分的单调增区间的………………14分16.解(1)已知向量若点A、B、C能构成三角形,则这三点不共线,………………………………..2分故知.……………………….5分∴实数时,满足条件.……………………………………………………….6分(2)若△ABC为直角三角形,且∠A为直角,则,…………………..9分∴,解得.……………………………………………12分17.解:设该厂生产件厂品的利润为元,则有…………………………………………………7分………………………………………………………………………9分所以当时,取得最大值,………………………………12分答:要使利润最大,该厂应生产50件这种产品,最大利润为5000元…………………12分18、(1)时,,,为周期函数且周期;4分(2)当时,则,时,,用心爱心专心,8分时,,;10分(3)时,,,时取“=”,12分(ⅰ)如果,即时,,即,13分(ⅱ)如果即时,可以证明在上是减函数,,此时(舍去)14分19.解:(1)设M(x,y)是函数图象上任意一点,则M(x,y)关于原点的对称点为N(-x,-y)N在函数的图象上,…………………………………………………………4分(2)为奇函数.……………………10分(3)由设,………………12分在[0,1上是增函数即即为所求.……………………………………14分20.(1)由于,用心爱心专心………………………………………………………2分数列是等差数列,首项,公差d为4.……4分(2)由得…………6分令,如果C1=1,此时此时数列是等差数列………………………………10分(3)………………12分……………………………………………………14分用心爱心专心

1、当您付费下载文档后,您只拥有了使用权限,并不意味着购买了版权,文档只能用于自身使用,不得用于其他商业用途(如 [转卖]进行直接盈利或[编辑后售卖]进行间接盈利)。
2、本站所有内容均由合作方或网友上传,本站不对文档的完整性、权威性及其观点立场正确性做任何保证或承诺!文档内容仅供研究参考,付费前请自行鉴别。
3、如文档内容存在违规,或者侵犯商业秘密、侵犯著作权等,请点击“违规举报”。

碎片内容

公学08-09学年第一学期期中考试试题参考解答

您可能关注的文档

远洋启航书店+ 关注
实名认证
内容提供者

从事历史教学,热爱教育,高度负责。

确认删除?
VIP
微信客服
  • 扫码咨询
会员Q群
  • 会员专属群点击这里加入QQ群
客服邮箱
回到顶部