电脑桌面
添加小米粒文库到电脑桌面
安装后可以在桌面快捷访问

湖南省宁乡二中高三数学理科限时训练VIP免费

湖南省宁乡二中高三数学理科限时训练_第1页
1/4
湖南省宁乡二中高三数学理科限时训练_第2页
2/4
湖南省宁乡二中高三数学理科限时训练_第3页
3/4
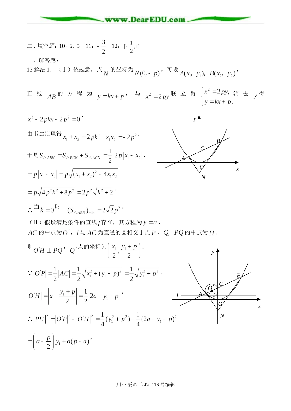
湖南省宁乡二中高三数学理科限时训练时量:45分钟,满分100分班级学号姓名一、选择题:本大题共9小题,每小题7分,满分63分1.已知函数的定义域,的定义域为,则=A.B.C.D.()2.若复数是纯虚数(是虚数单位,是实数),则()A.2B.C.D.3.若函数,则是()A.最小正周期为的奇函数B.最小正周期为的奇函数C.最小正周期为的偶函数D.最小正周期为的偶函数4.已知数列的前项和,第项满足,则()A.9B.8C.7D.65.设和是两个集合,定义集合,如果,,那么等于()A.B.C.D.6.已知和是两个不相等的正整数,且,则()A.0B.1C.D.7.若数列满足(为正常数,),则称为“等方比数列”.甲:数列是等方比数列;乙:数列是等比数列,则()A.甲是乙的充分条件但不是必要条件B.甲是乙的必要条件但不是充分条件C.甲是乙的充要条件D.甲既不是乙的充分条件也不是乙的必要条件用心爱心专心116号编辑8.双曲线的左准线为,左焦点和右焦点分别为和;抛物线的准线为,焦点为与的一个交点为,则等于()A.B.C.D.9.已知直线(是非零常数)与圆有公共点,且公共点的横坐标和纵坐标均为整数,那么这样的直线共有()A.60条B.66条C.72条D.78条二、填空题:本大题共3小题,每小题7分,共21分.10.已知函数的反函数是,则a+b=11.设变量满足约束条件则目标函数的最小值为12.设函数,若,则的取值范围是.三、解答题:本大题共16分.13.在平面直角坐标系中,过定点作直线与抛物线()相交于两点.(I)若点是点关于坐标原点的对称点,求面积的最小值;(II)是否存在垂直于轴的直线,使得被以为直径的圆截得的弦长恒为定值?若存在,求出的方程;若不存在,说明理由.数学限时训练(二)答案一、选择题:CADBBCBAA用心爱心专心116号编辑ABxyNCO二、填空题:10:6。511:12:三、解答题:13解法1:(Ⅰ)依题意,点的坐标为,可设,直线的方程为,与联立得消去得.由韦达定理得,.于是.,当时,.(Ⅱ)假设满足条件的直线存在,其方程为,的中点为,与为直径的圆相交于点,的中点为,则,点的坐标为.,,,用心爱心专心116号编辑NOACByxNOACByxOl.令,得,此时为定值,故满足条件的直线存在,其方程为,即抛物线的通径所在的直线.解法2:(Ⅰ)前同解法1,再由弦长公式得,又由点到直线的距离公式得.从而,当时,.(Ⅱ)假设满足条件的直线存在,其方程为,则以为直径的圆的方程为,将直线方程代入得,则.设直线与以为直径的圆的交点为,则有.令,得,此时为定值,故满足条件的直线存在,其方程为,即抛物线的通径所在的直线.用心爱心专心116号编辑

1、当您付费下载文档后,您只拥有了使用权限,并不意味着购买了版权,文档只能用于自身使用,不得用于其他商业用途(如 [转卖]进行直接盈利或[编辑后售卖]进行间接盈利)。
2、本站所有内容均由合作方或网友上传,本站不对文档的完整性、权威性及其观点立场正确性做任何保证或承诺!文档内容仅供研究参考,付费前请自行鉴别。
3、如文档内容存在违规,或者侵犯商业秘密、侵犯著作权等,请点击“违规举报”。

碎片内容

湖南省宁乡二中高三数学理科限时训练

您可能关注的文档

海博书城+ 关注
实名认证
内容提供者

从事历史教学,热爱教育,高度负责。

相关文档

确认删除?
VIP
微信客服
  • 扫码咨询
会员Q群
  • 会员专属群点击这里加入QQ群
客服邮箱
回到顶部