电脑桌面
添加小米粒文库到电脑桌面
安装后可以在桌面快捷访问

高中数学 每日一题之快乐暑假 第11天 余弦定理的概念 理 新人教A版-新人教A版高二全册数学试题VIP免费

高中数学 每日一题之快乐暑假 第11天 余弦定理的概念 理 新人教A版-新人教A版高二全册数学试题_第1页
1/3
高中数学 每日一题之快乐暑假 第11天 余弦定理的概念 理 新人教A版-新人教A版高二全册数学试题_第2页
2/3
高中数学 每日一题之快乐暑假 第11天 余弦定理的概念 理 新人教A版-新人教A版高二全册数学试题_第3页
3/3
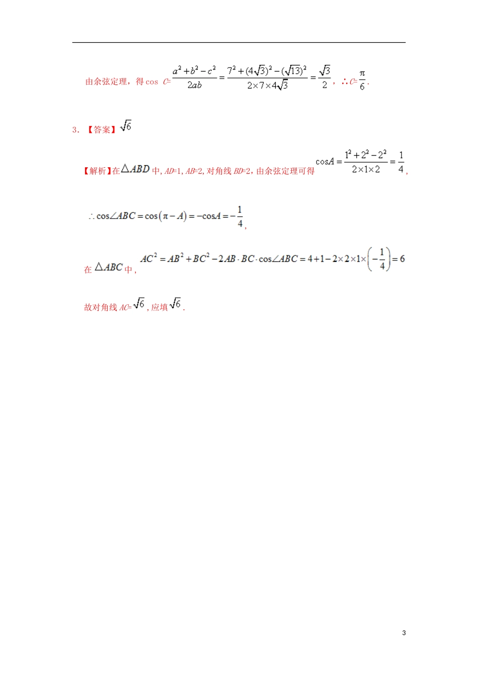
第11天余弦定理的概念高考频度:★★★☆☆难易程度:★★☆☆☆典例在线(1)在中,角A,B,C所对的边分别是a,b,c,若,则A.30°B.60°C.120°D.150°(2)在中,若a=3,c=7,∠C=60°,则边长b为A.5B.8C.5或-8D.-5或8【参考答案】(1)C;(2)B.【解题必备】(1)三角形任何一边的平方等于其他两边的平方的和减去这两边与它们夹角的余弦的积的两倍,即(2)从余弦定理,可以得到它的推论:(3)从余弦定理和余弦函数的性质可知,如果一个三角形两边的平方和等于第三边的平方,那么第三边所对的角是直角;如果小于第三边的平方,那么第三边所对的角是钝角;如果大于第三边的平方,那么第三边所对的角是锐角.从上可知,余弦定理可以看作是勾股定理的1推广(4)由正弦定理可以推出余弦定理,由余弦定理同样也可以推出正弦定理,在解三角形时,凡是能用正弦定理求解的三角形,必能用余弦定理求解,反之亦然.学霸推荐1.在中,AC=,BC=2,B=60°,则BC边上的高等于A.B.C.D.2.在中,a=7,b=4,c=,则的最小角的大小为_______.3.在平行四边形ABCD中,已知AD=1,AB=2,对角线BD=2,则对角线AC=_______.2.【答案】【解析】∵a>b>c,∴C为最小角,2由余弦定理,得cosC=,∴C=.3.【答案】【解析】在中,AD=1,AB=2,对角线BD=2,由余弦定理可得,,在中,故对角线AC=,应填.3

1、当您付费下载文档后,您只拥有了使用权限,并不意味着购买了版权,文档只能用于自身使用,不得用于其他商业用途(如 [转卖]进行直接盈利或[编辑后售卖]进行间接盈利)。
2、本站所有内容均由合作方或网友上传,本站不对文档的完整性、权威性及其观点立场正确性做任何保证或承诺!文档内容仅供研究参考,付费前请自行鉴别。
3、如文档内容存在违规,或者侵犯商业秘密、侵犯著作权等,请点击“违规举报”。

碎片内容

高中数学 每日一题之快乐暑假 第11天 余弦定理的概念 理 新人教A版-新人教A版高二全册数学试题

您可能关注的文档

星河书苑+ 关注
实名认证
内容提供者

从事历史教学,热爱教育,高度负责。

确认删除?
VIP
微信客服
  • 扫码咨询
会员Q群
  • 会员专属群点击这里加入QQ群
客服邮箱
回到顶部