电脑桌面
添加小米粒文库到电脑桌面
安装后可以在桌面快捷访问

高考数学冲刺复习 精练44VIP免费

高考数学冲刺复习 精练44_第1页
1/8
高考数学冲刺复习 精练44_第2页
2/8
高考数学冲刺复习 精练44_第3页
3/8
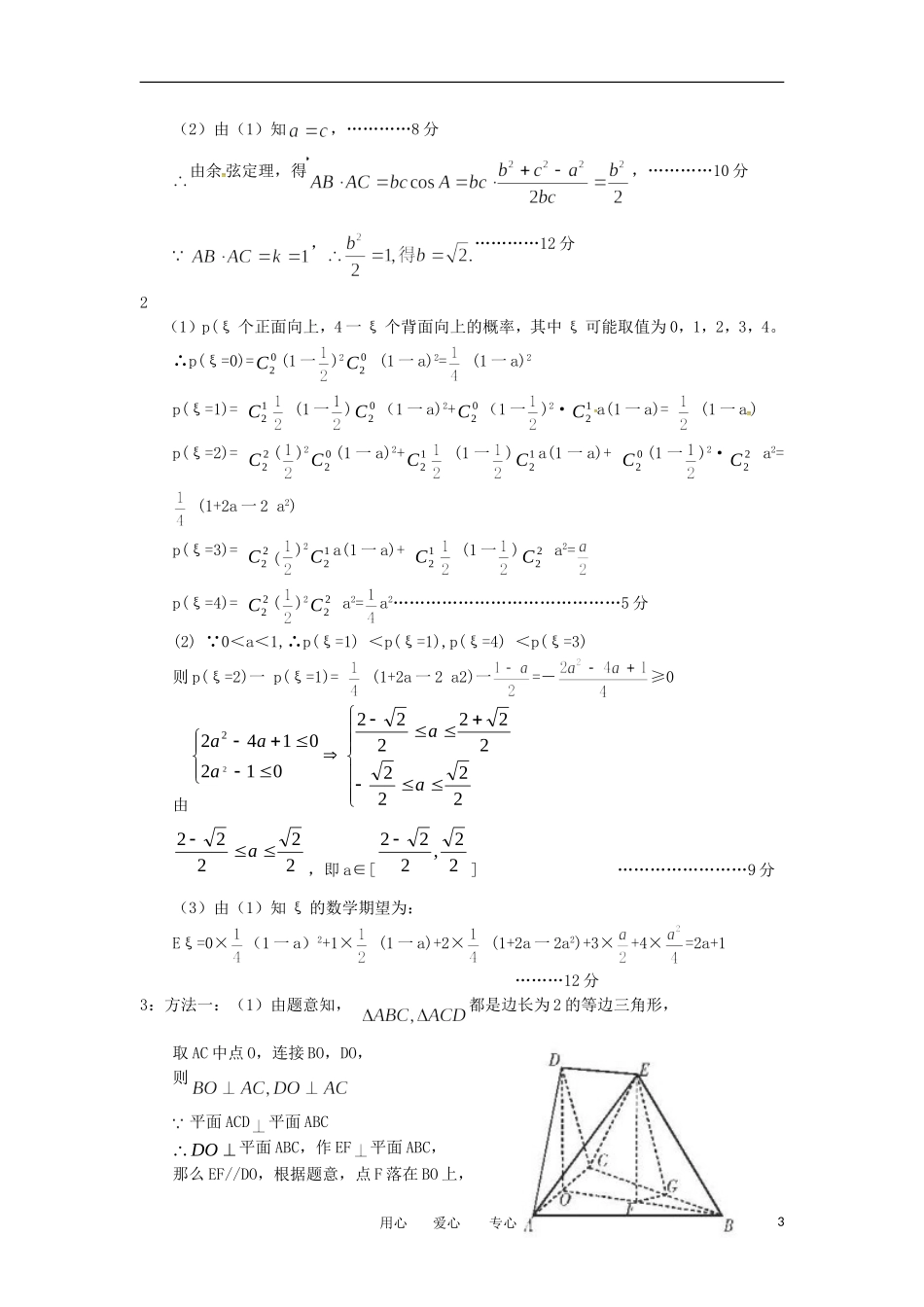
数学冲刺复习数学精练(44)1在,角A,B,C的对边分别为。(1)判断的形状;(2)若的值。2四个纪念币A.B.C.D,投掷时正面向上的概率如下表所示(0<a<1)纪念币ABCD概率1/21/2aa这四个纪念币同时投掷一次,设ξ表示出正面向上的个数。(1)求概率p(ξ)(2)求在概率p(ξ),p(ξ=2)为最大时,a的取值范围。(3)求ξ的数学期望。3在如图所示的空间几何体中,平面平面ABC,AB=BC=CA=DA=DC=BE=2,BE和平面ABC所成的角为60°,且点E在平面ABC上的射影落在的平分线上。(1)求证:DE//平面ABC;(2)求二面角E—BC—A的余弦值;4用心爱心专心1在数列。(1)求证:数列是等差数列,并求数列的通项公式;(2)设,求数列的前项和。5已知椭圆E的中心在坐标原点,焦点在x轴上,离心率为,且椭圆E上一点到两个焦点距离之和为4;是过点P(0,2)且互相垂直的两条直线,交E于A,B两点,交E交C,D两点,AB,CD的中点分别为M,N。(1)求椭圆E的方程;(2)求k的取值范围;(3)求的取值范围。6已知函数为自然对数的底数);(1)求的单调区间,若有最值,请求出最值;(2)是否存在正常数,使的图象有且只有一个公共点,且在该公共点处有共同的切线?若存在,求出的值,以及公共点坐标和公切线方程;若不存在,请说明理由。参考答案1.解析:(1);…………4分[来源:学#科#网Z#X#X#K]根据正弦正理,得。即。…………6分用心爱心专心2(2)由(1)知,…………8分由余弦定理,得,…………10分,…………12分2(1)p(ξ个正面向上,4一ξ个背面向上的概率,其中ξ可能取值为0,1,2,3,4。∴p(ξ=0)=02C(1一)202C(1一a)2=(1一a)2p(ξ=1)=12C(1一)02C(1一a)2+02C(1一)2·12Ca(1一a)=(1一a)p(ξ=2)=22C()202C(1一a)2+12C(1一)12Ca(1一a)+02C(1一)2·22Ca2=(1+2a一2a2)p(ξ=3)=22C()212Ca(1一a)+12C(1一)22Ca2=p(ξ=4)=22C()222Ca2=a2……………………………………5分(2) 0<a<1,∴p(ξ=1)<p(ξ=1),p(ξ=4)<p(ξ=3)则p(ξ=2)一p(ξ=1)=(1+2a一2a2)一=-≥0由2222222222012014222aaaaa22222a,即a∈[22,222]……………………9分(3)由(1)知ξ的数学期望为:Eξ=0×(1一a)2+1×(1一a)+2×(1+2a一2a2)+3×+4×=2a+1………12分3:方法一:(1)由题意知,都是边长为2的等边三角形,取AC中点O,连接BO,DO,则平面ACD平面ABCDO平面ABC,作EF平面ABC,那么EF//DO,根据题意,点F落在BO上,用心爱心专心360EBF,易求得所以四边形DEFO是平行四边形,DE//OF;平面ABC,平面ABC,平面ABC…………6分(2)作FGBC,垂足为G,连接FG;平面ABC,根据三垂线定理可知,EGBC就是二面角E—BC—A的平面角即二面角E—BC—A的余弦值为…………12分方法二:(1)同方法一(2)建立如图所示的空间直角坐标系,可求得平面ABC的一个法向量为,平面BCE的一个法向量为所以又由图知,所求二面角的平面角是锐角,所以二面角E—BC—A的余弦值为;…12分4解析:(1)证明:用心爱心专心4数列是等差数列…………3分,由,…………6分(2)由(1)的结论得…………7分①…………8分,②…………9分①一②,得…………11分…………12分5.解析:(1)设椭圆方程为[来源:Z§xx§k.Com]由,椭圆方程为…………4分(2)由题意知,直线的斜率存在且不为零。由消去并化简整理,得根据题意,,解得同理得…………9分(3)设用心爱心专心5那么同理得,即……10分即的取值范围是…………12分6.解析:(1)……1分①当恒成立上是增函数,F只有一个单调递增区间(0,一∞),没有最值……3分②当时,,若,则上单调递减;若,则上单调递增,时,()Fx有极小值,也是最小值,即…………6分所以当时,的单调递减区间为(0,)ea单调递增区间为(,)ea,最小值为,无最大值…………7分用心爱心专心6①②(2)方法一,若与的图象有且只有一个公共点,则方程有且只有一解,所以函数有且只有一个零点…………8分由(1)的结论可知…………10分此时,的图象的唯一公共点坐标为[来源:学科网ZXXK]又的图象在点处有共同的切线,其方程为,即…………14分综上所述...

1、当您付费下载文档后,您只拥有了使用权限,并不意味着购买了版权,文档只能用于自身使用,不得用于其他商业用途(如 [转卖]进行直接盈利或[编辑后售卖]进行间接盈利)。
2、本站所有内容均由合作方或网友上传,本站不对文档的完整性、权威性及其观点立场正确性做任何保证或承诺!文档内容仅供研究参考,付费前请自行鉴别。
3、如文档内容存在违规,或者侵犯商业秘密、侵犯著作权等,请点击“违规举报”。

碎片内容

高考数学冲刺复习 精练44

您可能关注的文档

确认删除?
VIP
微信客服
  • 扫码咨询
会员Q群
  • 会员专属群点击这里加入QQ群
客服邮箱
回到顶部