电脑桌面
添加小米粒文库到电脑桌面
安装后可以在桌面快捷访问

江苏省高三数学复习每天30分钟限时训练106 苏教版VIP免费

江苏省高三数学复习每天30分钟限时训练106 苏教版_第1页
1/3
江苏省高三数学复习每天30分钟限时训练106 苏教版_第2页
2/3
江苏省高三数学复习每天30分钟限时训练106 苏教版_第3页
3/3
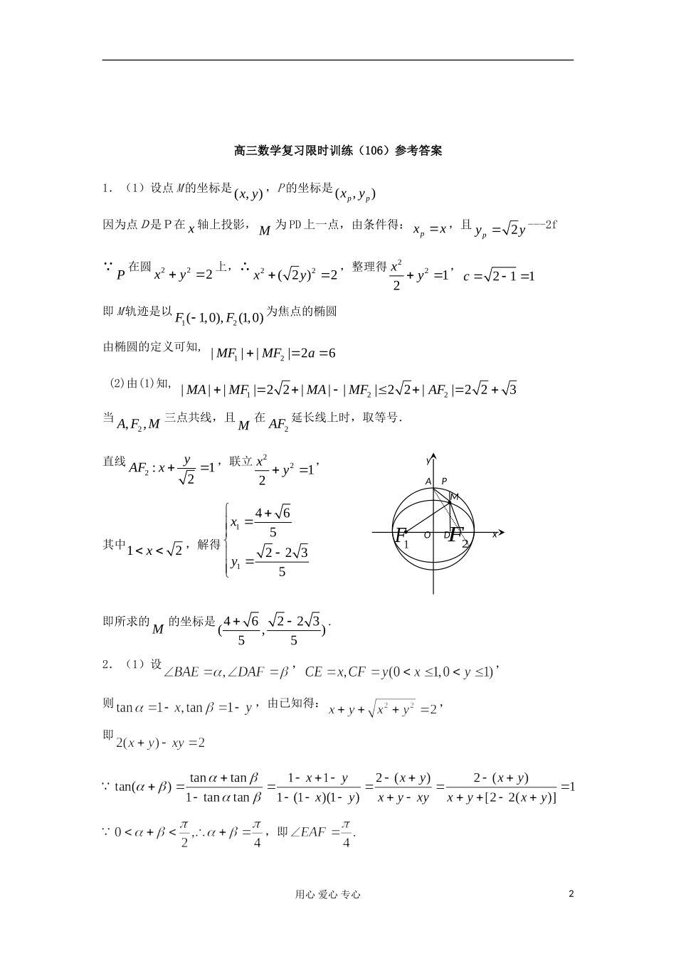
xyPMODA1F高三数学复习限时训练(106)1.如图,设P是圆222xy上的动点,点D是P在x轴上的投影,M为线段PD上一点,且||2||PDMD.点(0,2)A、1(1,0)F.(1)设在x轴上存在定点2F,使12||||MFMF为定值,试求2F的坐标,并指出定值是多少?(2)求1||||MAMF的最大值,并求此时点M的坐标.2.如图,开发商欲对边长为的正方形地段进行市场开发,拟在该地段的一角建设一个景观,需要建一条道路(点分别在上),根据规划要求的周长为.(1)设,试求的大小;(2)欲使的面积最小,试确定点的位置.用心爱心专心1FEDCBAxyPMODA1F2F高三数学复习限时训练(106)参考答案1.(1)设点M的坐标是(,)xy,P的坐标是(,)ppxy因为点D是P在x轴上投影,M为PD上一点,由条件得:pxx,且2pyy---2f∵P在圆222xy上,∴22(2)2xy,整理得2212xy,211c即M轨迹是以12(1,0),(1,0)FF为焦点的椭圆由椭圆的定义可知,12||||26MFMFa(2)由(1)知,122||||22||||22||223MAMFMAMFAF当2,,AFM三点共线,且M在2AF延长线上时,取等号.直线2:12yAFx,联立2212xy,其中12x,解得114652235xy即所求的M的坐标是46223(,)55.2.(1)设,,则,由已知得:,即,即用心爱心专心2(2)由(1)知,==.,,即时的面积最小,最小面积为.,故此时所以,当时,的面积最小.用心爱心专心3

1、当您付费下载文档后,您只拥有了使用权限,并不意味着购买了版权,文档只能用于自身使用,不得用于其他商业用途(如 [转卖]进行直接盈利或[编辑后售卖]进行间接盈利)。
2、本站所有内容均由合作方或网友上传,本站不对文档的完整性、权威性及其观点立场正确性做任何保证或承诺!文档内容仅供研究参考,付费前请自行鉴别。
3、如文档内容存在违规,或者侵犯商业秘密、侵犯著作权等,请点击“违规举报”。

碎片内容

江苏省高三数学复习每天30分钟限时训练106 苏教版

您可能关注的文档

海博书城+ 关注
实名认证
内容提供者

从事历史教学,热爱教育,高度负责。

相关文档

确认删除?
VIP
微信客服
  • 扫码咨询
会员Q群
  • 会员专属群点击这里加入QQ群
客服邮箱
回到顶部