电脑桌面
添加小米粒文库到电脑桌面
安装后可以在桌面快捷访问

高考数学冲刺复习 精练6VIP免费

高考数学冲刺复习 精练6_第1页
1/8
高考数学冲刺复习 精练6_第2页
2/8
高考数学冲刺复习 精练6_第3页
3/8
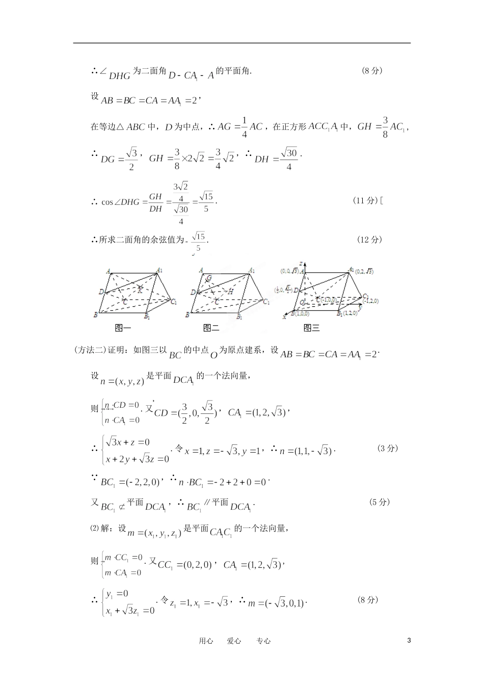
数学冲刺复习数学精练(6)1.已知平面向量,满足,,与的夹角为,若,则实数的值为()A.B.C.D.【答案】D【解析】因为,所以,解得.2.(理科)正弦曲线和直线及轴所围成的平面图形的面积是()A.1B.2C.3D.4【答案】C【解析】所求面积为3-3()=3,故选C.3(本小题满分12分)设连续掷两次骰子得到的点数分别为,令平面向量,.(Ⅰ)求使得事件“”发生的概率;(Ⅱ)求使得事件“”发生的概率;(Ⅲ)使得事件“直线与圆相交”发生的概率.解:(1)由题意知,,故所有可能的取法共36种...............2分使得,即,即,共有2种,所以用心爱心专心1求使得的概率........................4分(2)即,共有、6种使得的概率.....................8分(3)由直线与圆的位置关系得,,即,共有,5种,所以直线与圆相交的概率.......12分4(本小题满分12分)如图,在三棱柱中,平面,为的中点.(1)求证:∥平面;(2)求二面角的平面角的余弦值.【命题意图】本小题主要考查立体几何的相关知识,具体涉及到线面的平行关系、二面角的求法及空间向量在立体几何中的应用.【试题解析】(方法一)⑴证明:如图一,连结与交于点,连结.在△中,、为中点,∴∥.(3分)又平面,平面,∴∥平面.(5分)⑵解:二面角与二面角互补.如图二,作,垂足为,又平面平面,∴平面.作,垂足为,连结,则,用心爱心专心2∴∠为二面角的平面角.(8分)设,在等边△中,为中点,∴,在正方形中,,∴,,∴..(11分)[∴所求二面角的余弦值为.(12分)(方法二)证明:如图三以的中点为原点建系,设.设是平面的一个法向量,则.又,,∴.令,∴.(3分) ,∴.又平面,∴∥平面.(5分)⑵解:设是平面的一个法向量,则.又,,∴.令,∴.(8分)用心爱心专心3∴.(11分)∴所求二面角的余弦值为.(12分)5(本小题满分12分)如图,五面体11ABCCB中,.底面ABC是正三角形,.四边形11BCCB是矩形,二面角1ABCC为直二面角.(Ⅰ)若是AC中点,求证:∥平面;(Ⅱ)求该五面体的体积.解:(Ⅰ)证明:连结1BC交1BC于O,连结DO 四边形11BCCB是矩形∴O为1BC中点又D为AC中点,从而1//DOAB(4分) 1AB平面1BDC,DO平面1BDC∴//1AB平面1BDC(6分)(Ⅱ)过作,垂足为,为正三角形,为中点,(8分)二面角为直二面角,面,又,故矩形的面积(10分)故所求五面体体积(12分)6已知等差数列的公差大于0,且是方程的两根,数列的前n项的和为,且.(1)求数列,的通项公式;(2)若求数列的前项和.解:(1) a3,a5是方程的两根,且数列的公差>0,用心爱心专心4ACDB1C1BC1B1DCBAO∴a3=5,a5=9,公差∴………………3分又当=1时,有当∴数列{}是首项,公比等比数列,∴…………6分(2)由(Ⅰ)知…………8分设数列的前项和为,(1)(2)………………10分:化简得:………………………12分7已知椭圆:()过点,其左、右焦点分别为,且.(1)求椭圆的方程;(2)若是直线上的两个动点,且,则以为直径的圆是否过定点?请说明理由.解:(1)设点的坐标分别为,则故,可得,…………………2分所以,…………………4分用心爱心专心5故,所以椭圆的方程为.……………………………6分(2)设的坐标分别为,则,又,可得,即,…………………8分又圆的圆心为半径为,故圆的方程为,即,也就是,……………………11分令,可得或2,故圆必过定点和.……………………12分(另法:(1)中也可以直接将点坐标代入椭圆方程来进行求解;(2)中可利用圆C直径的两端点直接写出圆的方程)8已知二次函数)3()(2ccbxaxxh其中,其导函数)('xhy的图象如图,).(ln6)(xhxxf(1)求函数3)(xxf在处的切线斜率;(2)若函数1()(1,)2fxm在区间上是单调函数,求实数m的取值范围;(3)若,0,6yxx函数的图像总在函数)(xfy图象的上方,求c的取值范围.用心爱心专心6解:(1)由已知,baxxh2)(',其图象为直线,且过)0,4(),8,0(两点,82)('xxh…………1分cxxxhbaba8)(818222…………2分cxxxxf8ln6)(2826)('xxxf…………3分0)3('f...

1、当您付费下载文档后,您只拥有了使用权限,并不意味着购买了版权,文档只能用于自身使用,不得用于其他商业用途(如 [转卖]进行直接盈利或[编辑后售卖]进行间接盈利)。
2、本站所有内容均由合作方或网友上传,本站不对文档的完整性、权威性及其观点立场正确性做任何保证或承诺!文档内容仅供研究参考,付费前请自行鉴别。
3、如文档内容存在违规,或者侵犯商业秘密、侵犯著作权等,请点击“违规举报”。

碎片内容

高考数学冲刺复习 精练6

您可能关注的文档

确认删除?
VIP
微信客服
  • 扫码咨询
会员Q群
  • 会员专属群点击这里加入QQ群
客服邮箱
回到顶部