电脑桌面
添加小米粒文库到电脑桌面
安装后可以在桌面快捷访问

新人教版八年级数学上册第十六章分式测试题VIP免费

新人教版八年级数学上册第十六章分式测试题_第1页
1/4
新人教版八年级数学上册第十六章分式测试题_第2页
2/4
新人教版八年级数学上册第十六章分式测试题_第3页
3/4
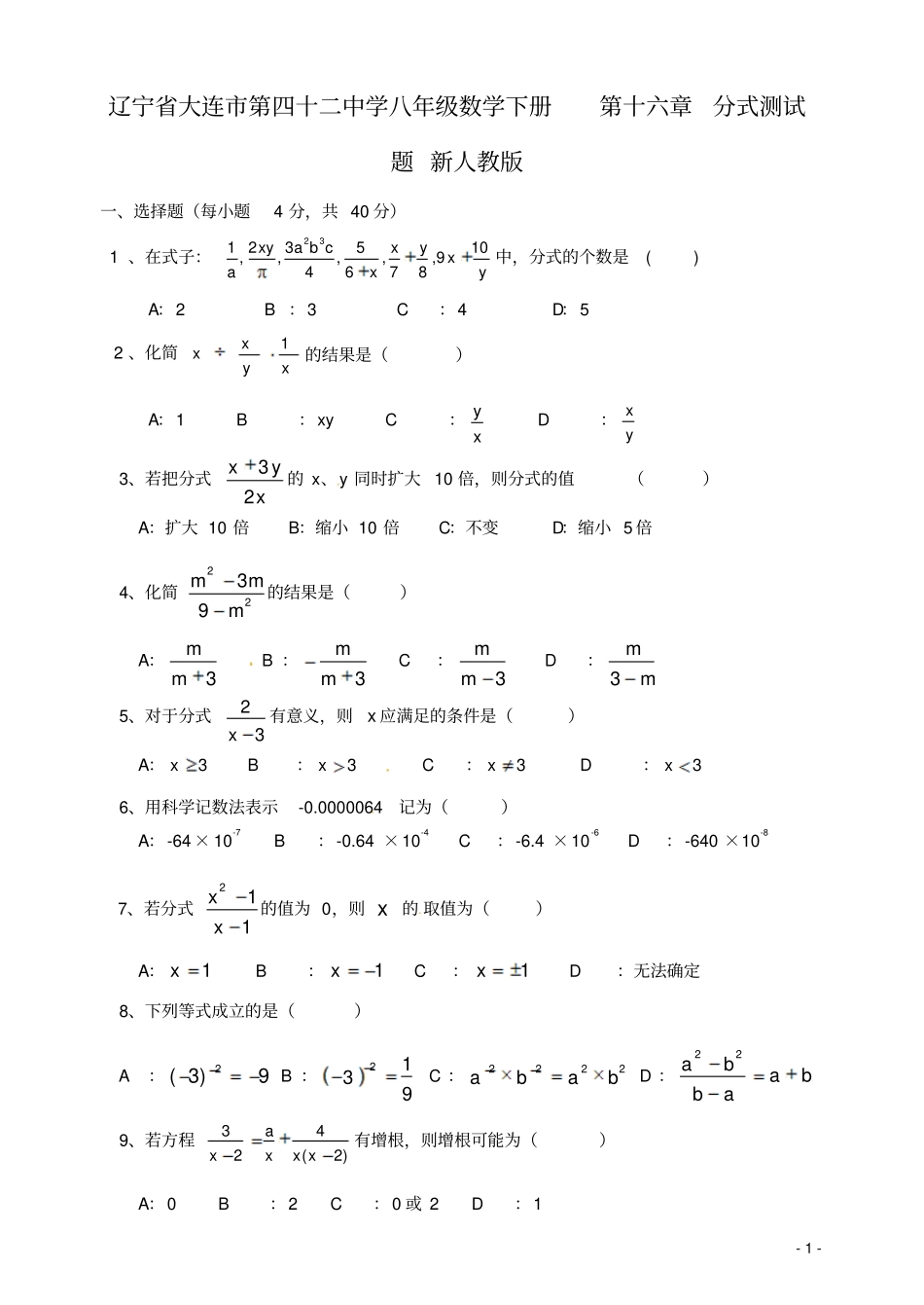
-1-辽宁省大连市第四十二中学八年级数学下册第十六章分式测试题新人教版一、选择题(每小题4分,共40分)1、在式子:23123510,,,,,94678xyabcxyxaxy中,分式的个数是()A:2B:3C:4D:52、化简1xxyx的结果是()A:1B:xyC:yxD:xy3、若把分式xyx23的x、y同时扩大10倍,则分式的值()A:扩大10倍B:缩小10倍C:不变D:缩小5倍4、化简2293mmm的结果是()A:3mmB:3mmC:3mmD:mm35、对于分式23x有意义,则x应满足的条件是()A:3xB:3xC:3xD:3x6、用科学记数法表示-0.0000064记为()A:-64×10-7B:-0.64×10-4C:-6.4×10-6D:-640×10-87、若分式112xx的值为0,则x的取值为()A:1xB:1xC:1xD:无法确定8、下列等式成立的是()A:9)3(2B:9132C:2222babaD:baabba229、若方程342(2)axxxx有增根,则增根可能为()A:0B:2C:0或2D:1-2-10、小明和小张两人练习电脑打字,小明每分钟比小张少打6个字,小明打120个字所用的时间和小张打180个字所用的时间相等。设小明打字速度为x个/分钟,则列方程正确的是()A:xx1806120B:xx1806120C:6180120xxD:6180120xx二、填空题(每小题4分,共40分)11、计算:321)(ba;203;12、方程xx527的解是;13、分式,21xxyy51,212的最简公分母为;14、约分:2264xyyx;932xx=;15、若关于x的方程211axax的解是x=2,则a=;16、计算abbbaa=;17、如果分式121xx的值为-1,则x的值是;18、已知31ba,分式baba52的值为;19、当x时,分式21xx的值为正数;20、轮船顺水航行46km和逆水航行34km所用的时间恰好相等,水的流速是3km/h,设轮船在静水中的速度是xkm/h,可列得方程为。三、解答题(共70分)21、计算题(每小题5分,共30分)⑴22124aaa⑵22233mnmnnpp-3-⑶112xxx⑷2222xyxyyxxx⑸1021200523⑹23323abab(结果只含正整数指数幂)22、解下列分式方程(每小题5分,共10分)⑴313221xx⑵11222xxx23、(10分)化简求值:23331111xxxxx,其中x=2。-4-24、(10分)m为何值时,关于x的方程223224mxxxx会产生增根?25、(10分)比邻而居的蜗牛神和蚂蚁王相约,第二天上午8时结伴出发,到相距16米的银杏树下参加探讨环境保护问题的微型动物首脑会议。蜗牛神想到“笨鸟先飞”的古训,于是给蚂蚁王留下一纸便条后提前2小时独自先行,蚂蚁王按既定时间出发,结果它们同时到达。已知蚂蚁王的速度是蜗牛神的4倍,求它们各自的速度。

1、当您付费下载文档后,您只拥有了使用权限,并不意味着购买了版权,文档只能用于自身使用,不得用于其他商业用途(如 [转卖]进行直接盈利或[编辑后售卖]进行间接盈利)。
2、本站所有内容均由合作方或网友上传,本站不对文档的完整性、权威性及其观点立场正确性做任何保证或承诺!文档内容仅供研究参考,付费前请自行鉴别。
3、如文档内容存在违规,或者侵犯商业秘密、侵犯著作权等,请点击“违规举报”。

碎片内容

新人教版八年级数学上册第十六章分式测试题

您可能关注的文档

确认删除?
VIP
微信客服
  • 扫码咨询
会员Q群
  • 会员专属群点击这里加入QQ群
客服邮箱
回到顶部