电脑桌面
添加小米粒文库到电脑桌面
安装后可以在桌面快捷访问

算法分析习题详细答案五VIP免费

算法分析习题详细答案五_第1页
1/8
算法分析习题详细答案五_第2页
2/8
算法分析习题详细答案五_第3页
3/8
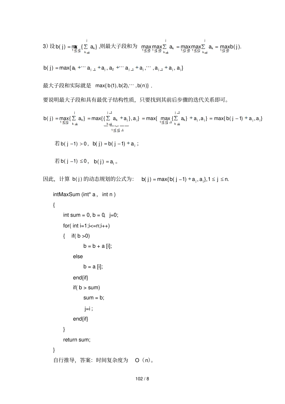
100/81.最大子段和问题:给定整数序列naaa,,,21,求该序列形如jikka的子段和的最大值:jikknjia1max,0max1)已知一个简单算法如下:intMaxsum(intn,inta,int&besti,int&bestj){intsum=0;for(inti=1;i<=n;i++){intsuma=0;for(intj=i;j<=n;j++){suma+=a[j];if(suma>sum){sum=suma;besti=i;bestj=j;}}}returnsum;}试分析该算法的时间复杂性。2)试用分治算法解最大子段和问题,并分析算法的时间复杂性。3)试说明最大子段和问题具有最优子结构性质,并设计一个动态规划算法解最大子段和问题。分析算法的时间复杂度。(提示:令1()max,1,2,,jkijnkibjajn)解:1)分析按照第一章,列出步数统计表,计算可得)(2nO2)分治算法:将所给的序列a[1:n]分为两段a[1:n/2]、a[n/2+1:n],分别求出这两段的最大子段和,则a[1:n]的最大子段和有三种可能:①a[1:n]的最大子段和与a[1:n/2]的最大子段和相同;②a[1:n]的最大子段和与a[n/2+1:n]的最大子段和相同;③a[1:n]的最大子段和为两部分的字段和组成,即jnjilnijaaaaa122;101/8intMaxSubSum(int*a,intleft,intright){intsum=0;if(left==right)sum=a[left]>0?a[left]:0;else{intcenter=(left+right)/2;intleftsum=MaxSubSum(a,left,center);intrightsum=MaxSubSum(a,center+1,right);ints_1=0;intleft_sum=0;for(inti=center;i>=left;i--){left_sum+=a[i];if(left_sum>s1)s1=left_sum;}ints2=0;intright_sum=0;for(inti=center+1;i<=right;i++){right_sum+=a[i];if(right_sum>s2)s2=right_sum;}sum=s1+s2;if(sum0)b=b+a[i];elseb=a[i];end{if}if(b>sum)sum=b;j=i;end{if}}returnsum;}自行推导,答案:时间复杂度为O(n)。103/82.动态规划算法的时间复杂度为O(n)(双机调度问题)用两台处理机A和B处理n个作业。设第i个作业交给机器A处理时所需要的时间是ia,若由机器B来处理,则所需要的时间是ib。现在要求每个作业只能由一台机器处理,每台机器都不能同时处理两个作业。设计一个动态规划算法,使得这两台机器处理完这n个作业的时间最短(从任何一台机器开工到最后一台机器停工的总的时间)。以下面的例子说明你的算法:)4,3,11,4,8,3(),,,,,(),2,5,10,7,5,2(),,,,,(,6654321654321bbbbbbaaaaaan解:(思路一)删除(思路二)在完成前k个作业时,设机器A工作了x时间,则机器B最小的工作时间是x的一个函数。设F[k][x]表示完成前k个作业时,机器B最小的工作时间,则)}](1[,)](1[min{)]([kkaxkFbxkFxkF其中kbxkF)](1[对应第k个作业由机器B来处理(完成k-1个作业时机器A工作时间仍是x,则B在k-1阶段用时为)](1[xkF);而)](1[kaxkF对应第k个作业由机器A处理(完成k-1个作业,机器A工作时间是x-a[k],而B完成k阶段与完成k-1阶段用时相同为)](1[kaxkF)。则完成前k个作业所需的时间为)}]([,max{xkFx1)当处理第一个作业时,a[1]=2,b[1]=3;机器A所花费时间的所有可能值范围:0xa[0].x<0时,设F[0][x]=∞,则max(x,∞)=∞;0x<2时,F[1][x]=3,则Max(0,3)=3,x2时,F[1][x]=0,则Max(2,0)=2;2)处理第二个作业时:x的取值范围是:0<=x<=(a[0]+a[1]),当x<0时,记F[2][x]=∞;以此类推下去104/8(思路三)假定n个作业的集合为nSn,,2,1。设J为nS的子集,若安排J中的作业在机器A上处理,其余作业在机器B上处理,此时所用...

1、当您付费下载文档后,您只拥有了使用权限,并不意味着购买了版权,文档只能用于自身使用,不得用于其他商业用途(如 [转卖]进行直接盈利或[编辑后售卖]进行间接盈利)。
2、本站所有内容均由合作方或网友上传,本站不对文档的完整性、权威性及其观点立场正确性做任何保证或承诺!文档内容仅供研究参考,付费前请自行鉴别。
3、如文档内容存在违规,或者侵犯商业秘密、侵犯著作权等,请点击“违规举报”。

碎片内容

算法分析习题详细答案五

您可能关注的文档

文库当当响+ 关注
实名认证
内容提供者

该用户很懒,什么也没介绍

确认删除?
VIP
微信客服
  • 扫码咨询
会员Q群
  • 会员专属群点击这里加入QQ群
客服邮箱
回到顶部