电脑桌面
添加小米粒文库到电脑桌面
安装后可以在桌面快捷访问

考研数学三考试解析超详细版VIP免费

考研数学三考试解析超详细版_第1页
1/22
考研数学三考试解析超详细版_第2页
2/22
考研数学三考试解析超详细版_第3页
3/22
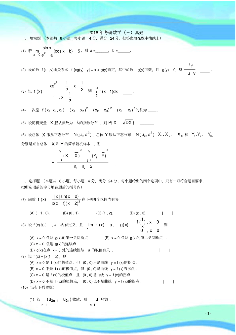
考研数学三考试解析超详细版2————————————————————————————————作者:————————————————————————————————日期:-3-2016年考研数学(三)真题一、填空题(本题共6小题,每小题4分,满分24分.把答案填在题中横线上)(1)若5)(cossinlim0bxaexxx,则a=______,b=______.(2)设函数f(u,v)由关系式f[xg(y),y]=x+g(y)确定,其中函数g(y)可微,且g(y)0,则2fuv.(3)设21,12121,)(2xxxexfx,则212(1)fxdx.(4)二次型213232221321)()()(),,(xxxxxxxxxf的秩为.(5)设随机变量X服从参数为λ的指数分布,则}{DXXP_______.(6)设总体X服从正态分布),(21σμN,总体Y服从正态分布),(22σμN,1,,21nXXX和2,,21nYYY分别是来自总体X和Y的简单随机样本,则12221112()()2nnijijXXYYEnn.二、选择题(本题共6小题,每小题4分,满分24分.每小题给出的四个选项中,只有一项符合题目要求,把所选项前的字母填在题后的括号内)(7)函数2)2)(1()2sin(||)(xxxxxxf在下列哪个区间内有界.(A)(1,0).(B)(0,1).(C)(1,2).(D)(2,3).[](8)设f(x)在(,+)内有定义,且axfx)(lim,0,00,)1()(xxxfxg,则(A)x=0必是g(x)的第一类间断点.(B)x=0必是g(x)的第二类间断点.(C)x=0必是g(x)的连续点.(D)g(x)在点x=0处的连续性与a的取值有关.[](9)设f(x)=|x(1x)|,则(A)x=0是f(x)的极值点,但(0,0)不是曲线y=f(x)的拐点.(B)x=0不是f(x)的极值点,但(0,0)是曲线y=f(x)的拐点.(C)x=0是f(x)的极值点,且(0,0)是曲线y=f(x)的拐点.(D)x=0不是f(x)的极值点,(0,0)也不是曲线y=f(x)的拐点.[](10)设有下列命题:(1)若1212)(nnnuu收敛,则1nnu收敛.-4-(2)若1nnu收敛,则11000nnu收敛.(3)若1lim1nnnuu,则1nnu发散.(4)若1)(nnnvu收敛,则1nnu,1nnv都收敛.则以上命题中正确的是(A)(1)(2).(B)(2)(3).(C)(3)(4).(D)(1)(4).[](11)设)(xf在[a,b]上连续,且0)(,0)(bfaf,则下列结论中错误的是(A)至少存在一点),(0bax,使得)(0xf>f(a).(B)至少存在一点),(0bax,使得)(0xf>f(b).(C)至少存在一点),(0bax,使得0)(0xf.(D)至少存在一点),(0bax,使得)(0xf=0.[](12)设n阶矩阵A与B等价,则必有(A)当)0(||aaA时,aB||.(B)当)0(||aaA时,aB||.(C)当0||A时,0||B.(D)当0||A时,0||B.[](13)设n阶矩阵A的伴随矩阵,0*A若4321,,,ξξξξ是非齐次线性方程组bAx的互不相等的解,则对应的齐次线性方程组0Ax的基础解系(A)不存在.(B)仅含一个非零解向量.(C)含有两个线性无关的解向量.(D)含有三个线性无关的解向量.[](14)设随机变量X服从正态分布)1,0(N,对给定的)1,0(α,数αu满足αuXPα}{,若αxXP}|{|,则x等于(A)2αu.(B)21αu.(C)21αu.(D)αu1.[]三、解答题(本题共9小题,满分94分.解答应写出文字说明、证明过程或演算步骤.)(15)(本题满分8分)求)cossin1(lim2220xxxx.(16)(本题满分8分)-5-求Ddyyx)(22,其中D是由圆422yx和1)1(22yx所围成的平面区域(如图).(17)(本题满分8分)设f(x),g(x)在[a,b]上连续,且满足xaxadttgdttf)()(,x[a,b),babadttgdttf)()(.证明:babadxxxgdxxxf)()(.(18)(本题满分9分)设某商品的需求函数为Q=1005P,其中价格P(0,20),Q为需求量.(I)求需求量对价格的弹性dE(dE>0);(II)推导)1(dEQdPdR(其中R为收益),并用弹性dE说明价格在何范围内变化时,降低价格反而使收益增加.(19)(本题满分9分)设级数)(864264242864xxxx的和函数为S(x).求:(I)S(x)所满足的一阶微分方程;(II)S(x)的表达式.(20)(本题满分13分)设Tα)0,2,1(1,Tααα)3,2,1(2,Tbαbα)2,2,1(3,Tβ)3,3,1(,试讨论当ba,为何值时,(Ⅰ)β不能由321,,ααα线性表示;(Ⅱ)β可由321,,ααα唯一地线性表示,并求出表示式;(Ⅲ)β可由321,,ααα线性表示,但表示式不唯一,并求出表示式.(21)(本题满分13分)设n阶矩阵-6-111bbbbbbA.(Ⅰ)求A的特征值和特征向量;(Ⅱ)求可逆矩阵P,使得APP1为对角矩阵.(22)(本题满分13分)设A,B为两个随机事件,且41)(AP,31)|(ABP,21)|(BAP,令不发生,,发生,AAX0,1.0,1不发生,发生,BBY求(Ⅰ)二维随机变量),(YX的概率分布;(Ⅱ)X与Y的相关系数XYρ;(Ⅲ)22YXZ的概率分布.(23)(本题满分13分)设随机变量X的分布函数为...

1、当您付费下载文档后,您只拥有了使用权限,并不意味着购买了版权,文档只能用于自身使用,不得用于其他商业用途(如 [转卖]进行直接盈利或[编辑后售卖]进行间接盈利)。
2、本站所有内容均由合作方或网友上传,本站不对文档的完整性、权威性及其观点立场正确性做任何保证或承诺!文档内容仅供研究参考,付费前请自行鉴别。
3、如文档内容存在违规,或者侵犯商业秘密、侵犯著作权等,请点击“违规举报”。

碎片内容

考研数学三考试解析超详细版

您可能关注的文档

确认删除?
VIP
微信客服
  • 扫码咨询
会员Q群
  • 会员专属群点击这里加入QQ群
客服邮箱
回到顶部