电脑桌面
添加小米粒文库到电脑桌面
安装后可以在桌面快捷访问

计算方法期末复习讲解VIP免费

计算方法期末复习讲解_第1页
1/22
计算方法期末复习讲解_第2页
2/22
计算方法期末复习讲解_第3页
3/22
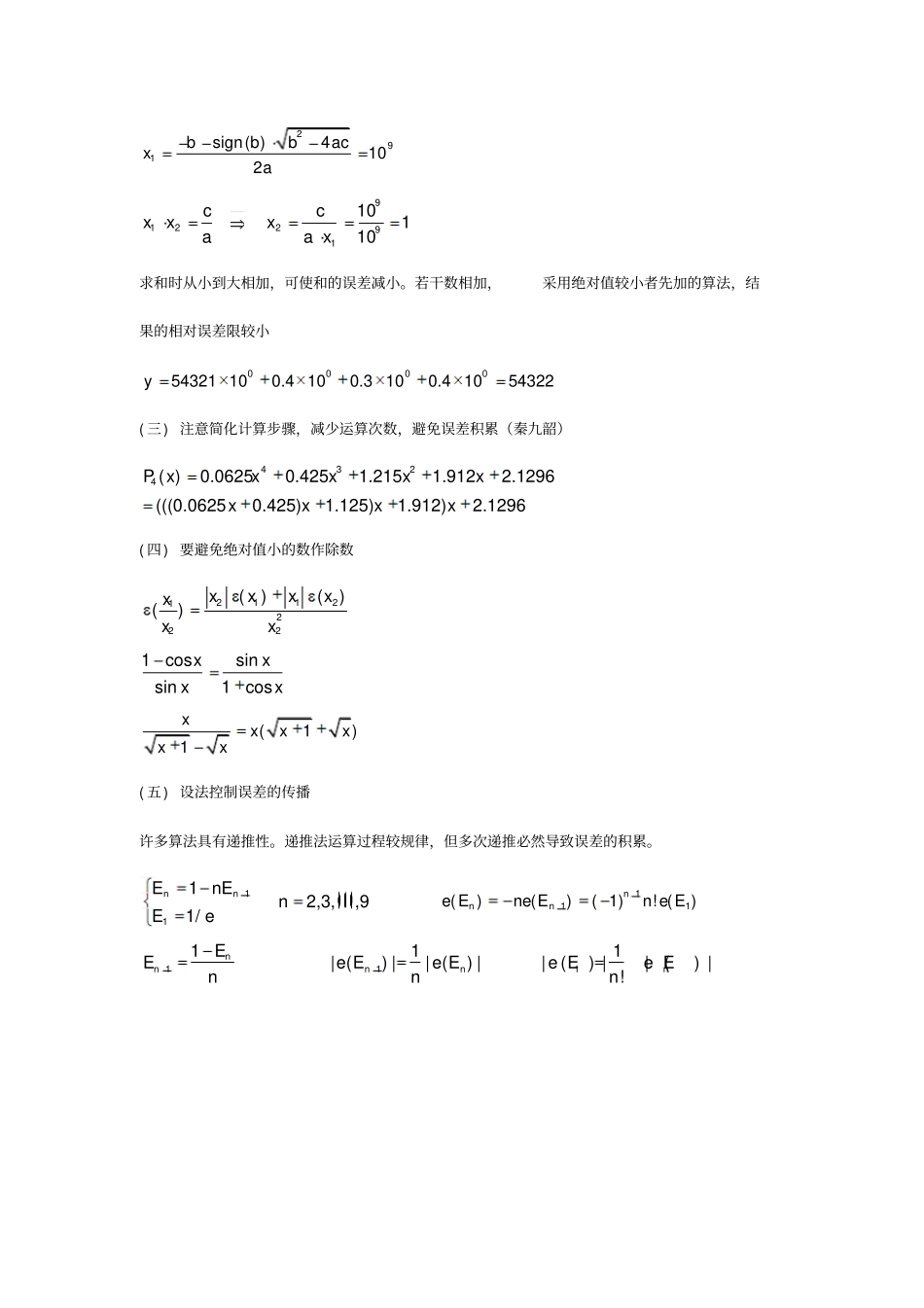
第一章引论1、误差来源及分类1.模型误差——从实际问题中抽象出数学模型2.观测误差——通过测量得到模型中参数的值(通常根据测量工具的精度,可以知道这类误差的上限值。)3.截断误差——当数学模型得不到精确解时,要用数值计算方法求它的近似解,由此产生的误差称为(截断误差)或(方法误差)4.舍入误差——由于计算机字长有限,原始数据的输入及浮点数运算过程中都有可能产生误差,这样产生的误差称为舍入误差2、五个关于误差的概念1.绝对误差(*)ex2.绝对误差限*3.相对误差(*)rex4.相对误差限(*)rx(1)定义:设某一量的准确值为x,近似值为x*,则x*与x之差叫做近似值x*的绝对误差(简称误差),记为*(*)*eexxx(2)性质:(1)绝对误差e(x*)可正可负(2)|e(x*)|的大小标志着x*的精确度(3)绝对误差e(x*)未知(3)判断:绝对误差是误差的绝对值?(错)(1)定义:若指定一个适当小的正数,使|(*)||*|*exxx则称*为近似值x*的绝对误差限。(有时用*xx表示近似值x*的精度或准确值的所在范围。)(2)性质:(1)在实际问题中,绝对误差一般是有量纲的,绝对误差限也是有量纲的。(2)绝对误差限是正的,有无穷多个【则比*大的任意正数均是绝对误差限】(1)定义:绝对误差与准确值之比*(*)*(*),0rrexxxeexxxx称为x*的相对误差。(2)性质:(1)相对误差是个无量纲量。值小者精度高。(2)由于准确值x未知,故实际问题中,当|(*)rex|较小时,常取(*)(*)*rexexx(1)定义:若指定一个适当小的正数(*)rx,使|(*)||(*)|(*)||rrexexxx则称(*)rx为近似值x*的相对误差限。(2)性质:当||(*)|rex较小时,可用下式计算(*)(*)||rxxx3.有效数字(1)定义:若近似值x*的绝对误差限是某一位的半个单位,该位到x*的第一位非零数字一共有n位,则称近似值x*有n位有效数字,或说x*精确到该位。注意:近似值后面的零不能随便省去!(2)例题:取x1*=3作为π的近似值,则011||0.1415102e:一个有效数字取x2*=3.14作为π的近似值,则221||0.00159102e:三个有效数字取x3*=3.1416作为π的近似值,则431||0.00000734102e:五个有效数字它们的误差都不超过末位数字的半个单位。(3)性质:(1)有效数字越多,则绝对误差越小(2)有效数字越多,则相对误差越小有效数字的位数可刻画近似数的精确度!4、一元函数的误差估计问题:设y=f(x),x的近似值为x*,则y的近似值y*的误差如何计算?(*)(*)(*)(*)eydyfxdxfxex(*)(*)(*)eyfxex*(*)(*)(*)(*)rrxeyfxexfx故相应的误差限计算如下(*)(*)(*)yfxx*(*)(*)(*)(*)rrxyfxxfx5、算法的数值稳定性概念及运算(1)定义:初始数据的误差或计算中的舍入误差在计算过程中的传播,因算法不同而异。一个算法,如果计算结果受误差的影响小,就称该算法具有较好的数值稳定性6、设计算法的五个原则(一)要避免相近两数相减;εxεxxεxlnlnln1;εxεxxsin()sin2cos()sin22xxx2311126xexxx(二)要防止大数“吃掉”小数,注意保护重要数据(*)(*)*(*)(*)(*)(*)(*)rrdyfxexxeyfxexyfxfx291()4102bsignbbacxa91229110110ccxxxaax求和时从小到大相加,可使和的误差减小。若干数相加,采用绝对值较小者先加的算法,结果的相对误差限较小000054321100.4100.3100.41054322y(三)注意简化计算步骤,减少运算次数,避免误差积累(秦九韶)4324()0.06250.4251.2151.9122.1296(((0.06250.425)1.125)1.912)2.1296Pxxxxxxxxx(四)要避免绝对值小的数作除数21121222()()()xxxxxxx1cossinsin1cosxxxx(1)1xxxxxx(五)设法控制误差的传播许多算法具有递推性。递推法运算过程较规律,但多次递推必然导致误差的积累。1112,3,,91/nnEnEnEe111()()(1)!()nnneEneEneE11nnEEn11|()||()|nneEeEn11|()||()|!neEeEn第三章插值问题1,函数逼近1、插值问题:求一条曲线严格通过数据点2、曲线拟合问题:求一条曲线在一定意义下靠近数据点2,插值问题1、定义:求一个简单函数φ(x)作为f(x)的近似表达式,以满足(),0,1,,iixyin我们称这样的问题为插值问题;并称φ(x)为f(x)的插值函数;f(x)为被插函数,x0,x1,x2,⋯,xn是插值节(基)点;(),0,1,,iixyin是插值原则.3,插值多项式1、定义:求一个次数不超过n的多项式2012()nnnPxaaxaxax使...

1、当您付费下载文档后,您只拥有了使用权限,并不意味着购买了版权,文档只能用于自身使用,不得用于其他商业用途(如 [转卖]进行直接盈利或[编辑后售卖]进行间接盈利)。
2、本站所有内容均由合作方或网友上传,本站不对文档的完整性、权威性及其观点立场正确性做任何保证或承诺!文档内容仅供研究参考,付费前请自行鉴别。
3、如文档内容存在违规,或者侵犯商业秘密、侵犯著作权等,请点击“违规举报”。

碎片内容

计算方法期末复习讲解

您可能关注的文档

确认删除?
VIP
微信客服
  • 扫码咨询
会员Q群
  • 会员专属群点击这里加入QQ群
客服邮箱
回到顶部