电脑桌面
添加小米粒文库到电脑桌面
安装后可以在桌面快捷访问

高考数学 精讲巧解分类攻克15VIP免费

高考数学 精讲巧解分类攻克15_第1页
1/6
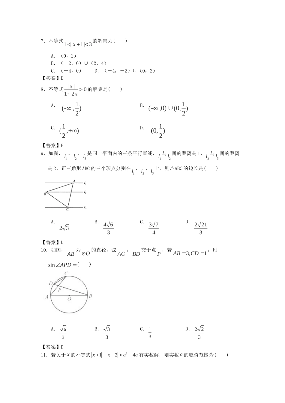
高考数学 精讲巧解分类攻克15_第2页
2/6
高考数学 精讲巧解分类攻克15_第3页
3/6
备战高考数学精讲巧解分类攻克15一、选择题(本大题共12个小题,每小题5分,共60分,在每小题给出的四个选项中,只有一项是符合题目要求的)1.圆)sin(cos2的圆心坐标是()A.4,21B.4,1C.4,2D.4,2【答案】B2.点3,1P,则它的极坐标是()A.3,2B.34,2C.3,2D.34,2【答案】C3.不等式3a-a≥|1-x|+|3+x|2对任意实数x恒成立,则实数a的取值范围为()A.[-1,4]B.(∞-,-2]∪[5∞,+)C.[-2,5]D.(∞-,-1]∪[4∞,+)【答案】A4.极坐标系内曲线cos2上的动点P与定点Q(2,1)的最近距离等于()A.12B.15C.1D.2【答案】A5.如图5,PA为⊙O的切线,A为切点,PO交⊙O于点B,PA=8,OA=6,则tan∠APO的值为()A.34B.53C.54D.43【答案】D6.2222xxa能成立,则实数a的取值范围是()A.,4B.4,C.4,D.4,【答案】C7.不等式3|1|1x的解集为()A.(0,2)B.(-2,0)∪(2,4)C.(-4,0)D.(-4,-2)∪(0,2)【答案】D8.不等式||012xx的解集是()A.)21,(B.)21,0()0,(C.),21(D.)21,0(【答案】B9.如图,1l、2l、3l是同一平面内的三条平行直线,1l与2l间的距离是1,2l与3l间的距离是2,正三角形ABC的三个顶点分别在1l、2l、3l上,则△ABC的边长是()A.32B.364C.473D.3212【答案】D10.如图,AB为O的直径,弦AC,BD交于点P,若3,1ABCD,则sinAPD()A.63B.33C.13D.223【答案】D11.若关于x的不等式2124xxaa有实数解,则实数a的取值范围为()A.(1,3)B.(,1)(3,)C.(,3)(1,)D.(3,1)【答案】B12.如图.∠ACB=90º,CD⊥AB于点D,以BD为直径的圆与BC交于点E.则()A.CE·CB=AD·DBB.CE·CB=AD·ABC.AD·AB=CD²D.CE·EB=CD²【答案】A第Ⅱ卷(非选择题共90分)二、填空题(本大题共4个小题,每小题5分,共20分,把正确答案填在题中横线上)13.若实数x,y,z,t满足110000xyzt≤≤≤≤≤,则xzyt的最小值为.【答案】15014.不等式|2||3|xx≥3的解集为____________.【答案】}1|{xx15.如图,PC切圆O于点C,割线PAB经过圆心O,4,8PCPB,则OBCS.【答案】18516.已知圆C的极坐标方程为2cos,则圆C上点到直线:lcos2sin40的最短距离为。【答案】51三、解答题(本大题共6个小题,共70分,解答应写出文字说明,证明过程或演算步骤)17.如图所示,设ABC的外接圆的切线AE与BC的延长线交于点E,BC边上有一点D,满足,,ECEDEB组成等比数列。求证:AD平分BAC。DEABC【答案】,,ECEDEB组成等比数列。所以2EDECED,AE为ABC的外接圆的切线。ECB为圆的割线。有2EAECED。故EDEA所以EACCADADCBBAD由弦切角定理知BEAC。所以BADDAC18.已知函数()213fxxx,(1)解不等式()4fx;(2)若存在x使得()0fxa成立,求实数a的取值范围。【答案】4421xx或423321xx或443xx解得:2,8x(2)27)(minxf,min)(xfa所以27a19.已知:a,b,c都是正数,a+2b+3c=9≥.求证:++.【答案】因为a,b,c都是正数,所以(a+2b+3c)(++)≥(•+•+•)2=1.因为a+2b+3c=9,≥所以++.20.如图:在Rt∠ABC中,AB=BC,以AB为直径的⊙O交AC于点D,过D作DEBC,垂足为E,连接AE交⊙O于点F,求证:BECEEFEA。【答案】(方法一)因为90,ABCABCRt中所以CBOB所以CB为⊙O的切线所以EB2=EF·FA连结OD,因为AB=BC所以45BAC所以90BOD在四边形BODE中,90BEDOBEBOD所以BODE为矩形所以.2121BCABOBODBE即.CEBE所以.EAEFCEBE(方法二)因为90,ABCABCRt中所以CBOB,所以CB为⊙O的切线所以EB2=EF·FA连结BD,因为AB是⊙O的直径,所以.ACBD又因为AB=BC,所以AD=BD=DC。因为DEBC,所以...

1、当您付费下载文档后,您只拥有了使用权限,并不意味着购买了版权,文档只能用于自身使用,不得用于其他商业用途(如 [转卖]进行直接盈利或[编辑后售卖]进行间接盈利)。
2、本站所有内容均由合作方或网友上传,本站不对文档的完整性、权威性及其观点立场正确性做任何保证或承诺!文档内容仅供研究参考,付费前请自行鉴别。
3、如文档内容存在违规,或者侵犯商业秘密、侵犯著作权等,请点击“违规举报”。

碎片内容

高考数学 精讲巧解分类攻克15

您可能关注的文档

文章天下+ 关注
实名认证
内容提供者

各种文档应有尽有

确认删除?
VIP
微信客服
  • 扫码咨询
会员Q群
  • 会员专属群点击这里加入QQ群
客服邮箱
回到顶部