电脑桌面
添加小米粒文库到电脑桌面
安装后可以在桌面快捷访问

高中数学 第一章(中)函数及其表示练习2 新人教版必修1-新人教版高一必修1数学试题VIP免费

高中数学 第一章(中)函数及其表示练习2 新人教版必修1-新人教版高一必修1数学试题_第1页
1/4
高中数学 第一章(中)函数及其表示练习2 新人教版必修1-新人教版高一必修1数学试题_第2页
2/4
高中数学 第一章(中)函数及其表示练习2 新人教版必修1-新人教版高一必修1数学试题_第3页
3/4
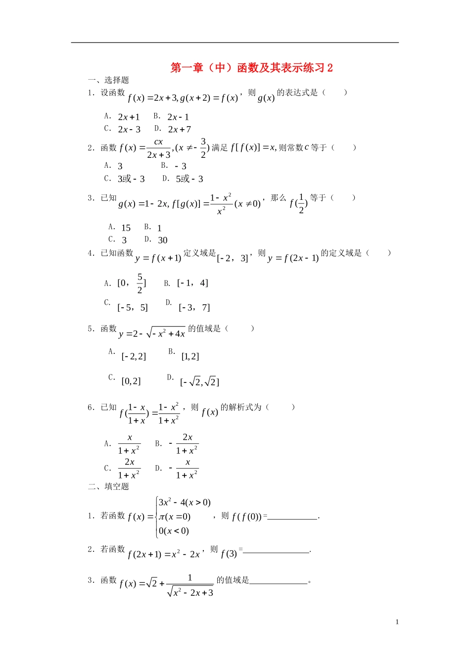
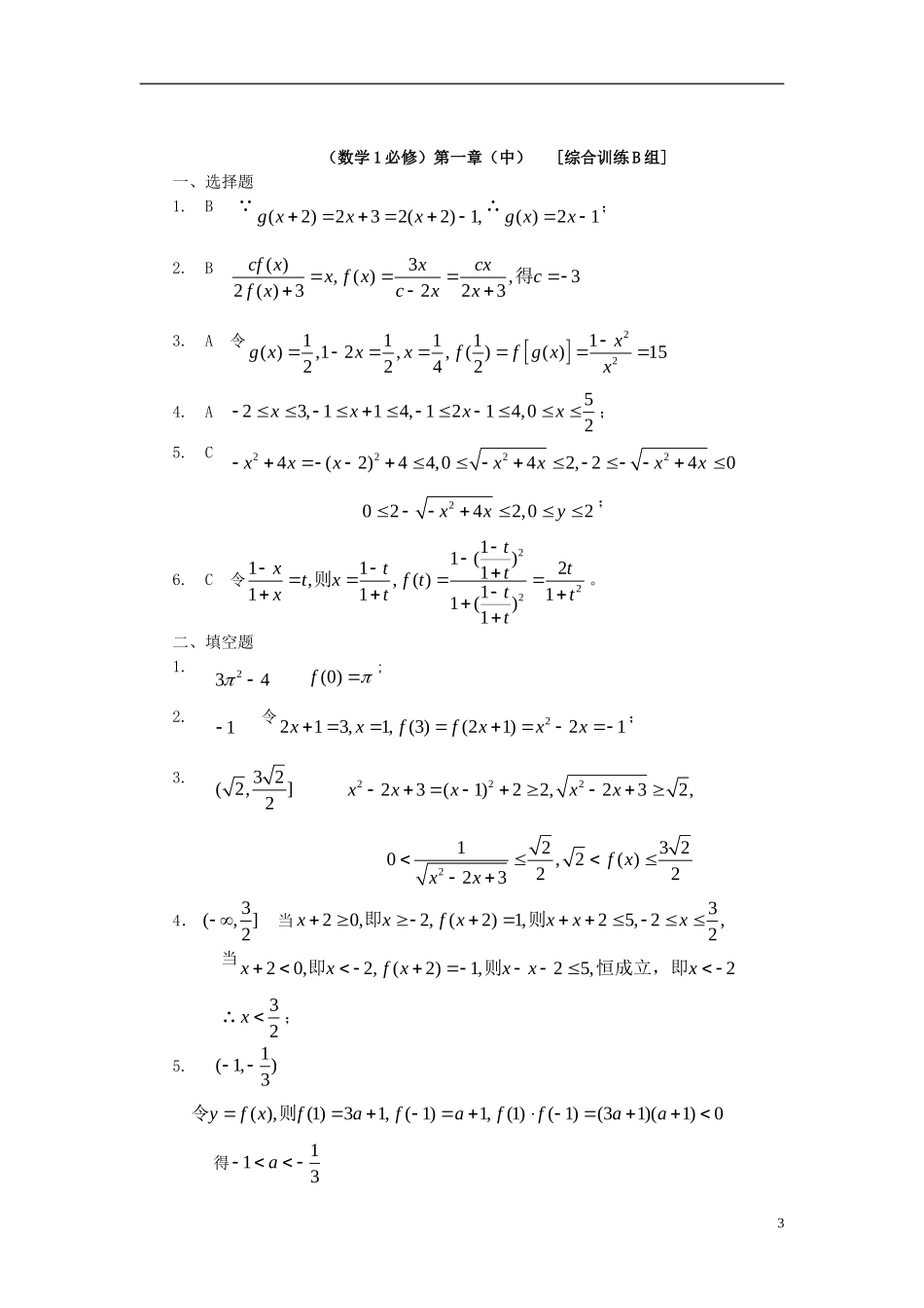
第一章(中)函数及其表示练习2一、选择题1.设函数()23,(2)()fxxgxfx,则()gx的表达式是()A.21xB.21xC.23xD.27x2.函数)23(,32)(xxcxxf满足,)]([xxff则常数c等于()A.3B.3C.33或D.35或3.已知)0(1)]([,21)(22xxxxgfxxg,那么)21(f等于()A.15B.1C.3D.304.已知函数yfx()1定义域是[]23,,则yfx()21的定义域是()A.[]052,B.[]14,C.[]55,D.[]37,5.函数224yxx的值域是()A.[2,2]B.[1,2]C.[0,2]D.[2,2]6.已知2211()11xxfxx,则()fx的解析式为()A.21xxB.212xxC.212xxD.21xx二、填空题1.若函数234(0)()(0)0(0)xxfxxx,则((0))ff=.2.若函数xxxf2)12(2,则)3(f=.3.函数21()223fxxx的值域是。14.已知0,10,1)(xxxf,则不等式(2)(2)5xxfx的解集是。5.设函数21yaxa,当11x时,y的值有正有负,则实数a的范围。三、解答题1.设,是方程24420,()xmxmxR的两实根,当m为何值时,22有最小值?求出这个最小值.2.求下列函数的定义域(1)83yxx(2)11122xxxy(3)xxy111113.求下列函数的值域(1)xxy43(2)34252xxy(3)xxy214.作出函数6,3,762xxxy的图象。2(数学1必修)第一章(中)[综合训练B组]一、选择题1.B∵(2)232(2)1,gxxx∴()21gxx;2.B()3,(),32()3223cfxxcxxfxcfxcxx得3.A令2211111(),12,,()()152242xgxxxffgxx4.A523,114,1214,02xxxx;5.C22224(2)44,042,240xxxxxxx20242,02xxy;6.C令22211()1121,,()11111()1txttttxfttxttt则。二、填空题1.234(0)f;2.1令2213,1,(3)(21)21xxffxxx;3.32(2,]222223(1)22,232,xxxxx212320,2()2223fxxx4.3(,]2当320,2,(2)1,25,2,2xxfxxxx即则当20,2,(2)1,25,2xxfxxxx即则恒成立,即∴32x;5.1(1,)3(),(1)31,(1)1,(1)(1)(31)(1)0yfxfafaffaa令则得113a3三、解答题1.解:21616(2)0,21,mmmm或222222min1()21211,()2mmm当时2.解:(1)∵8083,30xxx得∴定义域为8,3(2)∵222101011,110xxxxxx得且即∴定义域为1(3)∵00111021101011xxxxxxxxxx得∴定义域为11,,0223.解:(1)∵343,43,,141xyyyxyxxyxy得,∴值域为|1yy(2)∵222432(1)11,xxx∴2101,05243yxx∴值域为0,5(3)1120,,2xxyx且是的减函数,当min11,22xy时,∴值域为1[,)24.解:(五点法:顶点,与x轴的交点,与y轴的交点以及该点关于对称轴对称的点)s4

1、当您付费下载文档后,您只拥有了使用权限,并不意味着购买了版权,文档只能用于自身使用,不得用于其他商业用途(如 [转卖]进行直接盈利或[编辑后售卖]进行间接盈利)。
2、本站所有内容均由合作方或网友上传,本站不对文档的完整性、权威性及其观点立场正确性做任何保证或承诺!文档内容仅供研究参考,付费前请自行鉴别。
3、如文档内容存在违规,或者侵犯商业秘密、侵犯著作权等,请点击“违规举报”。

碎片内容

高中数学 第一章(中)函数及其表示练习2 新人教版必修1-新人教版高一必修1数学试题

确认删除?
VIP
微信客服
  • 扫码咨询
会员Q群
  • 会员专属群点击这里加入QQ群
客服邮箱
回到顶部