电脑桌面
添加小米粒文库到电脑桌面
安装后可以在桌面快捷访问

高中数学 阶段测试 新人教A版必修5VIP免费

高中数学 阶段测试 新人教A版必修5_第1页
1/4
高中数学 阶段测试 新人教A版必修5_第2页
2/4
高中数学 阶段测试 新人教A版必修5_第3页
3/4
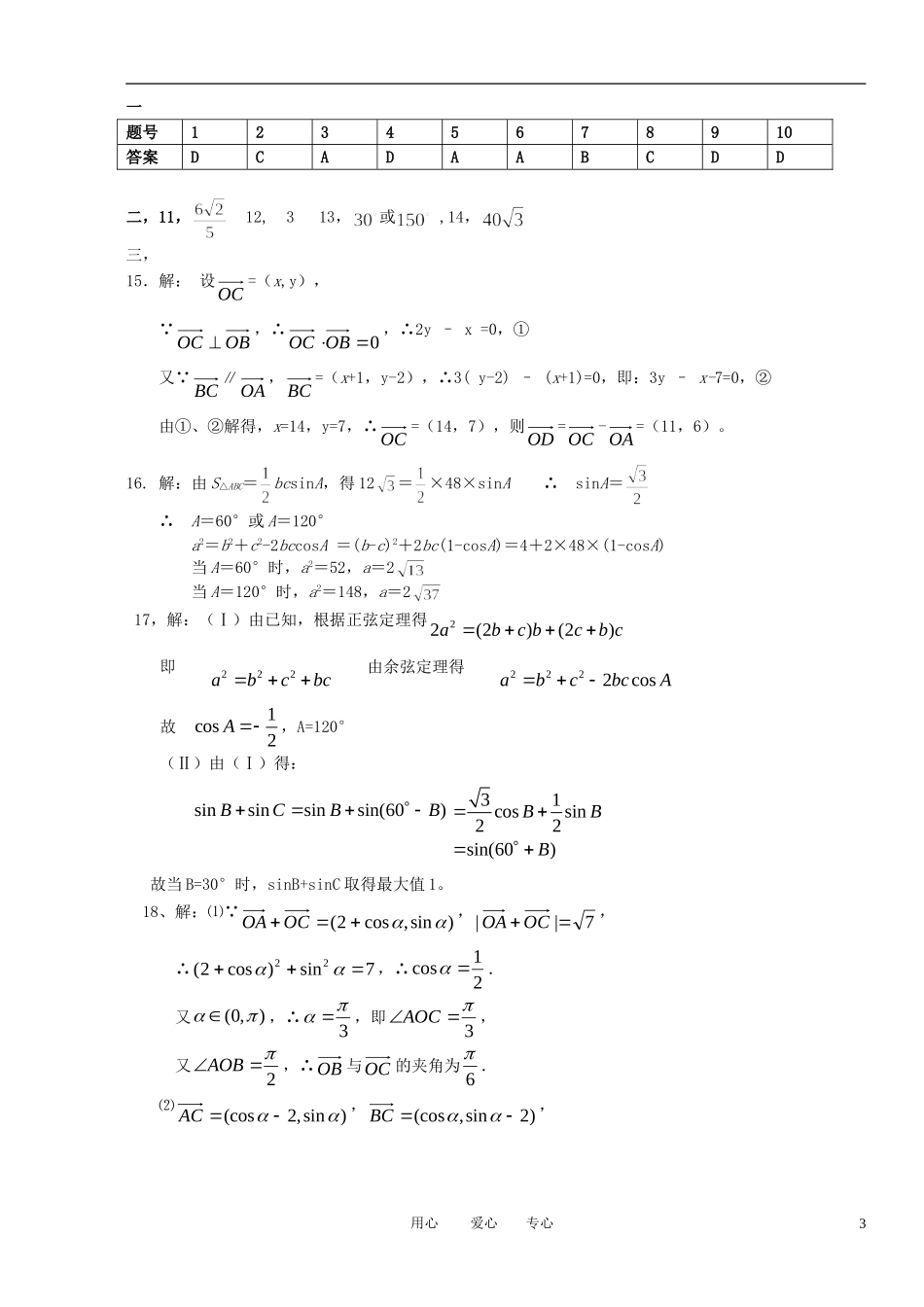
高一数学(必修5)阶段测试(一)(测试内容:平面向量、解三角形)姓名一,选择题(每题3分,共30分)1、下列向量组中能作为表示它们所在平面内所有向量的基底的是()A.)0,0(a)2,1(bB.)2,1(a)4,2(bC.)5,3(a)10,6(bD.)3,2(a)9,6(b2.在△ABC中,,则A等于()A.60°B.45°C.120°D.30°3、设i,j是互相垂直的单位向量,向量jima3)1(,jmib)1(,)()(baba,则实数m为()A.-2B.2C.21D.不存在4、在四边形ABCD中,baAB2,baBC4,baCD35,则四边形ABCD的形状是()A.长方形B.平行四边形C.菱形D.梯形5.已知锐角三角形的边长分别为2、3、x,则x的取值范围是()A.B.<x<5C.2<x<D.<x<56.在中,,,,则解的情况()A.无解B.有一解C.有两解D.不能确定7、下列说法正确的个数为()(1))()()(bababa;(2)||||||baba;(3)cbcacba)((4))()(cbacba;(5)设cba,,为同一平面内三个向量,且c为非零向量,ba,不共线,则bacacb)()(与c垂直。A.2B.3C.4D.58、向量a=(-1,1),且a与a+2b方向相同,则ba的范围是()A.(1,+∞)B.(-1,1)C.(-1,+∞)D.(-∞,1)9、在△OAB中,OA=(2cosα,2sinα),OB=(5cosβ,5sinβ),若OBOA=-5,则S△OAB=()A.3B.23C.35D.235用心爱心专心110.在△ABC中,A为锐角,lgb+lg()=lgsinA=-lg,则△ABC为()A.等腰三角形B.等边三角形C.直角三角形D.等腰直角三角形题号12345678910答案二,填空题(每题5分,共20分)11、已知)3,2(a,)4,3(b,则)(ba在)(ba上的投影等于___________。12、已知三点(1,2),(2,1),(2,2)ABC,,EF为线段BC的三等分点,则AEAF�=_____.13,在中,三边、、所对的角分别为、、,已知,,的面积S=,则;14.三角形的一边长为14,这条边所对的角为,另两边之比为8:5,则这个三角形的面积为;二,解答题(每题10分,共50分)15.(本题满分10分)设向量OA=(3,1),OB=(-1,2),向量OBOC,BC∥OA,又OD+OA=OC,求OD。16.(本题满分10分)a,b,c为△ABC的三边,其面积S△ABC=12,bc=48,b-c=2,求a.17、(本题满分10分)在△ABC中,a,b,c分别为内角A,B,C的对边,且(Ⅰ)求A的大小;(Ⅱ)求sinsinBC的最大值.18、(本题满分10分)已知A(2,0),B(0,2),C(cosα,sinα),(0<α<π)。(1)若7||OCOA(O为坐标原点),求OB与OC的夹角;(2)若BCAC,求tanα的值。19、(本题满分10分)已知向量33(cos,sin),(cos,sin)2222xxaxxb,且[0,]2x,求:(1)ab及||ab;(2)若()2||fxabab的最小值为32,求实数的值。参考答案用心爱心专心2一题号12345678910答案DCADAABCDD二,11,12,313,或,14,三,15.解:设OC=(x,y), OBOC,∴0OBOC,∴2y–x=0,①又 BC∥OA,BC=(x+1,y-2),∴3(y-2)–(x+1)=0,即:3y–x-7=0,②由①、②解得,x=14,y=7,∴OC=(14,7),则OD=OC-OA=(11,6)。16.解:由S△ABC=bcsinA,得12=×48×sinA∴sinA=∴A=60°或A=120°a2=b2+c2-2bccosA=(b-c)2+2bc(1-cosA)=4+2×48×(1-cosA)当A=60°时,a2=52,a=2当A=120°时,a2=148,a=217,解:(Ⅰ)由已知,根据正弦定理得22(2)(2)abcbcbc即222abcbc由余弦定理得2222cosabcbcA故1cos2A,A=120°(Ⅱ)由(Ⅰ)得:sinsinsinsin(60)BCBB31cossin22sin(60)BBB故当B=30°时,sinB+sinC取得最大值1。18、解:⑴ )sin,cos2(OCOA,7||OCOA,∴7sin)cos2(22,∴21cos.又),0(,∴3,即3AOC,又2AOB,∴OB与OC的夹角为6.⑵)sin,2(cosAC,)2sin,(cosBC,用心爱心专心3由BCAC,∴0BCAC,可得21sincos,①∴41)sin(cos2,∴43cossin2, ),0(,∴),2(,又由47cossin21)sin(cos2...

1、当您付费下载文档后,您只拥有了使用权限,并不意味着购买了版权,文档只能用于自身使用,不得用于其他商业用途(如 [转卖]进行直接盈利或[编辑后售卖]进行间接盈利)。
2、本站所有内容均由合作方或网友上传,本站不对文档的完整性、权威性及其观点立场正确性做任何保证或承诺!文档内容仅供研究参考,付费前请自行鉴别。
3、如文档内容存在违规,或者侵犯商业秘密、侵犯著作权等,请点击“违规举报”。

碎片内容

高中数学 阶段测试 新人教A版必修5

远洋启航书店+ 关注
实名认证
内容提供者

从事历史教学,热爱教育,高度负责。

确认删除?
VIP
微信客服
  • 扫码咨询
会员Q群
  • 会员专属群点击这里加入QQ群
客服邮箱
回到顶部