电脑桌面
添加小米粒文库到电脑桌面
安装后可以在桌面快捷访问

高中数学 第五章 三角函数 5.5.1 两角和与差的正弦、余弦和正切公式(第1课时)两角差的余弦公式课后篇巩固提升(含解析)新人教A版必修1-新人教A版高一必修1数学试题VIP免费

高中数学 第五章 三角函数 5.5.1 两角和与差的正弦、余弦和正切公式(第1课时)两角差的余弦公式课后篇巩固提升(含解析)新人教A版必修1-新人教A版高一必修1数学试题_第1页
1/4
高中数学 第五章 三角函数 5.5.1 两角和与差的正弦、余弦和正切公式(第1课时)两角差的余弦公式课后篇巩固提升(含解析)新人教A版必修1-新人教A版高一必修1数学试题_第2页
2/4
高中数学 第五章 三角函数 5.5.1 两角和与差的正弦、余弦和正切公式(第1课时)两角差的余弦公式课后篇巩固提升(含解析)新人教A版必修1-新人教A版高一必修1数学试题_第3页
3/4
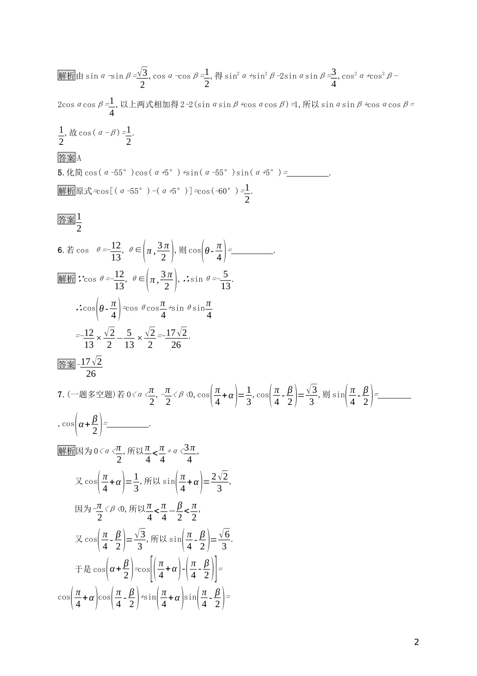
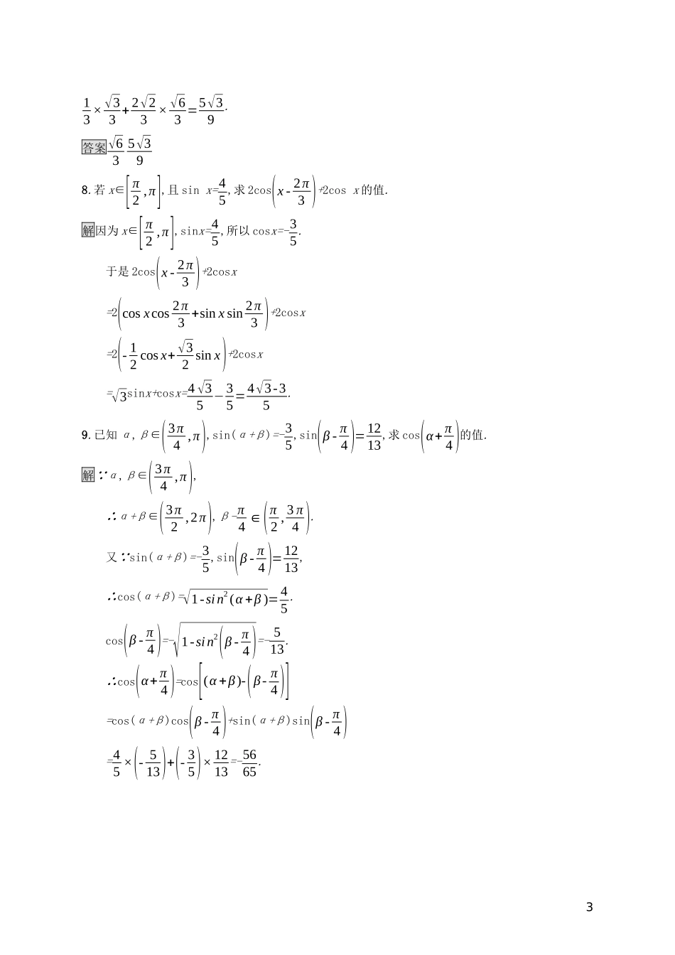
第1课时两角差的余弦公式课后篇巩固提升1.cos285°等于()A.√6-√24B.√6+√24C.√2-√64D.-√2+√64解析cos285°=cos(360°-75°)=cos75°=cos(30°+45°)=cos30°cos45°-sin30°sin45°=√6-√24.答案A2.计算cos(π4-α)sinα+cosα的值是()A.√2B.-√2C.√22D.-√22解析cos(π4-α)sinα+cosα=cosπ4cosα+sinπ4sinαsinα+cosα=√22(sinα+cosα)sinα+cosα=√22.答案C3.满足sinαsinβ=-cosαcosβ的一组值是()A.α=β=90°B.α=18°,β=72°C.α=130°,β=40°D.α=140°,β=40°解析由sinαsinβ=-cosαcosβ可得cos(α-β)=0,因此α-β=k·180°+90°,只有C项符合.答案C4.若sinα-sinβ=√32,cosα-cosβ=12,则cos(α-β)的值为()A.12B.√32C.√34D.11解析由sinα-sinβ=√32,cosα-cosβ=12,得sin2α+sin2β-2sinαsinβ=34,cos2α+cos2β-2cosαcosβ=14,以上两式相加得2-2(sinαsinβ+cosαcosβ)=1,所以sinαsinβ+cosαcosβ=12,故cos(α-β)=12.答案A5.化简cos(α-55°)cos(α+5°)+sin(α-55°)sin(α+5°)=.解析原式=cos[(α-55°)-(α+5°)]=cos(-60°)=12.答案126.若cosθ=-1213,θ∈(π,3π2),则cos(θ-π4)=.解析∵cosθ=-1213,θ∈(π,3π2),∴sinθ=-513.∴cos(θ-π4)=cosθcosπ4+sinθsinπ4=-1213×√22−513×√22=-17√226.答案-17√2267.(一题多空题)若0<α<π2,-π2<β<0,cos(π4+α)=13,cos(π4-β2)=√33,则sin(π4-β2)=,cos(α+β2)=.解析因为0<α<π2,所以π4<π4+α<3π4,又cos(π4+α)=13,所以sin(π4+α)=2√23,因为-π2<β<0,所以π4<π4−β2<π2,又cos(π4-β2)=√33,所以sin(π4-β2)=√63.于是cos(α+β2)=cos[(π4+α)-(π4-β2)]=cos(π4+α)cos(π4-β2)+sin(π4+α)sin(π4-β2)=213×√33+2√23×√63=5√39.答案√635√398.若x∈[π2,π],且sinx=45,求2cos(x-2π3)+2cosx的值.解因为x∈[π2,π],sinx=45,所以cosx=-35.于是2cos(x-2π3)+2cosx=2(cosxcos2π3+sinxsin2π3)+2cosx=2(-12cosx+√32sinx)+2cosx=√3sinx+cosx=4√35−35=4√3-35.9.已知α,β∈(3π4,π),sin(α+β)=-35,sin(β-π4)=1213,求cos(α+π4)的值.解∵α,β∈(3π4,π),∴α+β∈(3π2,2π),β-π4∈(π2,3π4).又∵sin(α+β)=-35,sin(β-π4)=1213,∴cos(α+β)=√1-sin2(α+β)=45.cos(β-π4)=-√1-sin2(β-π4)=-513.∴cos(α+π4)=cos[(α+β)-(β-π4)]=cos(α+β)cos(β-π4)+sin(α+β)sin(β-π4)=45×(-513)+(-35)×1213=-5665.34

1、当您付费下载文档后,您只拥有了使用权限,并不意味着购买了版权,文档只能用于自身使用,不得用于其他商业用途(如 [转卖]进行直接盈利或[编辑后售卖]进行间接盈利)。
2、本站所有内容均由合作方或网友上传,本站不对文档的完整性、权威性及其观点立场正确性做任何保证或承诺!文档内容仅供研究参考,付费前请自行鉴别。
3、如文档内容存在违规,或者侵犯商业秘密、侵犯著作权等,请点击“违规举报”。

碎片内容

高中数学 第五章 三角函数 5.5.1 两角和与差的正弦、余弦和正切公式(第1课时)两角差的余弦公式课后篇巩固提升(含解析)新人教A版必修1-新人教A版高一必修1数学试题

远洋启航书店+ 关注
实名认证
内容提供者

从事历史教学,热爱教育,高度负责。

确认删除?
VIP
微信客服
  • 扫码咨询
会员Q群
  • 会员专属群点击这里加入QQ群
客服邮箱
回到顶部