电脑桌面
添加小米粒文库到电脑桌面
安装后可以在桌面快捷访问

高中数学 第四章 指数函数与对数函数 4.1 指数 4.1.2 无理数指数幂及其运算性质课时作业(含解析)新人教A版必修第一册-新人教A版高一第一册数学试题VIP免费

高中数学 第四章 指数函数与对数函数 4.1 指数 4.1.2 无理数指数幂及其运算性质课时作业(含解析)新人教A版必修第一册-新人教A版高一第一册数学试题_第1页
1/5
高中数学 第四章 指数函数与对数函数 4.1 指数 4.1.2 无理数指数幂及其运算性质课时作业(含解析)新人教A版必修第一册-新人教A版高一第一册数学试题_第2页
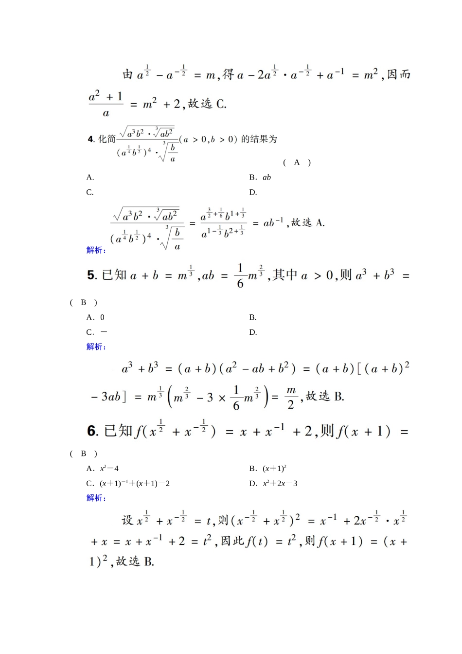
2/5
高中数学 第四章 指数函数与对数函数 4.1 指数 4.1.2 无理数指数幂及其运算性质课时作业(含解析)新人教A版必修第一册-新人教A版高一第一册数学试题_第3页
3/5
课时作业27无理数指数幂及其运算性质时间:45分钟——基础巩固类——1.下列各式正确的为(D)解析:(B)A.5B.C.-D.-5解析:(C)A.m2-2B.2-m2C.m2+2D.m2解析:(A)A.B.abC.D.解析:(B)A.0B.C.-D.解析:(B)A.x2-4B.(x+1)2C.(x+1)-1+(x+1)-2D.x2+2x-3解析:7.计算-0+-0.5+的值为+e.解析:-0+-0.5+=+1-1++e-=+e.8.已知a2=b4=m(a>0,b>0),a+b=6,则m=16.解析:由已知,得+=6,即()2+-6=0,因而=2或-3(舍).从而m=16.9.已知函数f(x)=则f(3)-f(5+3)=3.解析:10.化简下列各式:解:11.化简:(1)·(a>0,b>0);(2);解:——能力提升类——解析:13.已知x2+x-2=2,且x>1,则x2-x-2的值为(D)A.2或-2B.-2C.D.2解析:方法1:∵x>1,∴x2>1,由x-2+x2=2,可得x2=+1,∴x2-x-2=+1-=+1-(-1)=2.方法2:令x2-x-2=t,①∵x-2+x2=2,②∴由①2-②2,得t2=4.∵x>1,∴x2>x-2,∴t>0,于是t=2,即x2-x-2=2,故选D.14.设α,β是方程5x2+10x+1=0的两个根,则2α·2β=,(2α)β=2.解析:利用一元二次方程根与系数的关系,得α+β=-2,αβ=,则2α·2β=2α+β=2-2=,(2α)β=2αβ=2.15.(1)已知x=,y=,求-.(2)已知a、b是方程x2-6x+4=0的两根,且a>b>0,求的值.解:(1)-=-=.将x=,y=代入上式,得原式===-24=-8.(2)因为a、b是方程x2-6x+4=0的两根,所以2====.因为a>b>0,所以>>0.所以==.

1、当您付费下载文档后,您只拥有了使用权限,并不意味着购买了版权,文档只能用于自身使用,不得用于其他商业用途(如 [转卖]进行直接盈利或[编辑后售卖]进行间接盈利)。
2、本站所有内容均由合作方或网友上传,本站不对文档的完整性、权威性及其观点立场正确性做任何保证或承诺!文档内容仅供研究参考,付费前请自行鉴别。
3、如文档内容存在违规,或者侵犯商业秘密、侵犯著作权等,请点击“违规举报”。

碎片内容

高中数学 第四章 指数函数与对数函数 4.1 指数 4.1.2 无理数指数幂及其运算性质课时作业(含解析)新人教A版必修第一册-新人教A版高一第一册数学试题

确认删除?
VIP
微信客服
  • 扫码咨询
会员Q群
  • 会员专属群点击这里加入QQ群
客服邮箱
回到顶部