电脑桌面
添加小米粒文库到电脑桌面
安装后可以在桌面快捷访问

河北正定中学09-10学年高一数学上学期第四次月考 新人教版VIP免费

河北正定中学09-10学年高一数学上学期第四次月考 新人教版_第1页
1/7
河北正定中学09-10学年高一数学上学期第四次月考 新人教版_第2页
2/7
河北正定中学09-10学年高一数学上学期第四次月考 新人教版_第3页
3/7
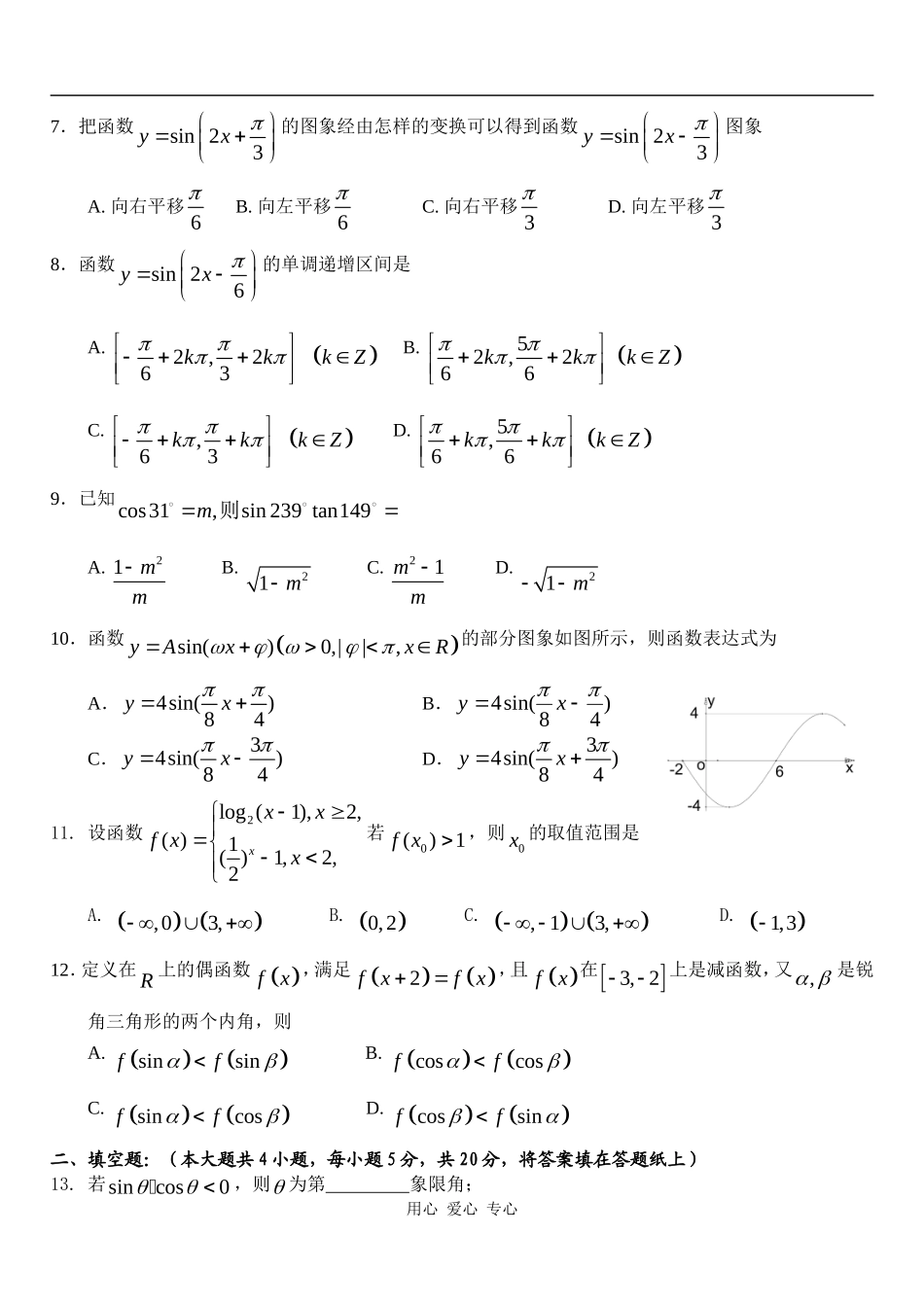
河北正定中学高一年级第四次考试数学试题一.选择题(本大题共12小题,每小题5分,共60分,在每小题给出的四个选项中,只有一项是符合题目要求的)1.已知53)2sin(,则cos()A.35B.45C.35D.452.113756923abaabA.23abB.32abC.2abD.3ab3.�ABMBBOOMACA.�ACB.�BCC.0D.�CB4.332tan03cossin5cos2sin222A.2B.2C.0D.35.下列结论中,不正确的是A.向量�AB、�CD共线与向量�ABCD意义是相同的B.若�ABCD,则�ABCDC.若向量a,b满足ab,则abD.若向量�ABCD,则向量�BADC6.函数13sin,0,,23fxxx则函数fx的最大值为A.12B.23C.22D.32用心爱心专心7.把函数sin23yx的图象经由怎样的变换可以得到函数sin23yx图象A.向右平移6B.向左平移6C.向右平移3D.向左平移38.函数sin26yx的单调递增区间是A.2,263kkkZB.52,266kkkZC.,63kkkZD.5,66kkkZ9.已知cos31,sin239tan149m则A.21mmB.21mC.21mmD.21m10.函数sin()0,||,yAxxR的部分图象如图所示,则函数表达式为A.4sin()84yxB.)48sin(4xyC.34sin()84yxD.34sin()84yx11.设函数2log(1),2,()1()1,2,2xxxfxx若0()1fx,则0x的取值范围是A.,03,B.0,2C.,13,D.1,312.定义在R上的偶函数fx,满足2fxfx,且fx在3,2上是减函数,又,是锐角三角形的两个内角,则A.sinsinffB.coscosffC.sincosffD.cossinff二、填空题:(本大题共4小题,每小题5分,共20分,将答案填在答题纸上)13.若sincos0,则为第象限角;用心爱心专心14.已知幂函数()yfx的图象过点22,,2则此函数的解析式是;15.在菱形ABCD中,60,2�DABAB,则�BCDC;16.下面有五个命题:①函数sincosyxx的最小正周期是2;②终边在y轴上的角的集合是,2kkZ;③在同一坐标系中,函数sinyx的图象和函数yx的图象有三个公共点;④把函数3sin(2)3yx的图象向右平移6单位,得到3sin2yx的图象;⑤函数sin2yx在0,上是减函数.所有正确命题的序号是.(把你认为正确命题的序号都填上)三、解答题(本大题共6小题,共70分。解答应写出文字说明、证明过程或演算步骤)17.(本小题10分)求函数2sin1yx的定义域.18.(本小题12分)设12,�ee是两个不共线的向量,122��aee,12��bekekR,若a、b共线,确定实数k的值.19.(本小题12分)已知函数261712xxy.(1)求函数的定义域、值域;(2)确定函数的单调区间.20.(本小题12分)若函数()sin()(0,0)fxx,其相邻的最高点与最低点横坐标之差为2,()fx图象的一条对称轴是直线8x.(1)求;(2)画出函数)(xfy在区间],0[上的图象;用心爱心专心(3)写出该函数图象是由sinyx怎样变换而得到的.21.(本小题12分)我们知道,如果集合AS,那么S的子集A的补集为{|,}SCAxxSxA且.类似地,对于集合AB、,我们把集合{|,}xxAxB且叫做集合A与B的差集,记作AB.据此回答下列问题:(1)若{1,2,3,4}A,{3,4,5,6}B,求AB;(2)在下列各图中用阴影表示集合AB.(3)若集合{|015}Axax,集合1{|2}2Bxx,且AB,...

1、当您付费下载文档后,您只拥有了使用权限,并不意味着购买了版权,文档只能用于自身使用,不得用于其他商业用途(如 [转卖]进行直接盈利或[编辑后售卖]进行间接盈利)。
2、本站所有内容均由合作方或网友上传,本站不对文档的完整性、权威性及其观点立场正确性做任何保证或承诺!文档内容仅供研究参考,付费前请自行鉴别。
3、如文档内容存在违规,或者侵犯商业秘密、侵犯著作权等,请点击“违规举报”。

碎片内容

河北正定中学09-10学年高一数学上学期第四次月考 新人教版

确认删除?
VIP
微信客服
  • 扫码咨询
会员Q群
  • 会员专属群点击这里加入QQ群
客服邮箱
回到顶部