电脑桌面
添加小米粒文库到电脑桌面
安装后可以在桌面快捷访问

高中数学 第一章 计数原理测试题 北师大版数学选修2-3-北师大版高二选修2-3数学试题VIP免费

高中数学 第一章 计数原理测试题 北师大版数学选修2-3-北师大版高二选修2-3数学试题_第1页
1/4
高中数学 第一章 计数原理测试题 北师大版数学选修2-3-北师大版高二选修2-3数学试题_第2页
2/4
高中数学 第一章 计数原理测试题 北师大版数学选修2-3-北师大版高二选修2-3数学试题_第3页
3/4
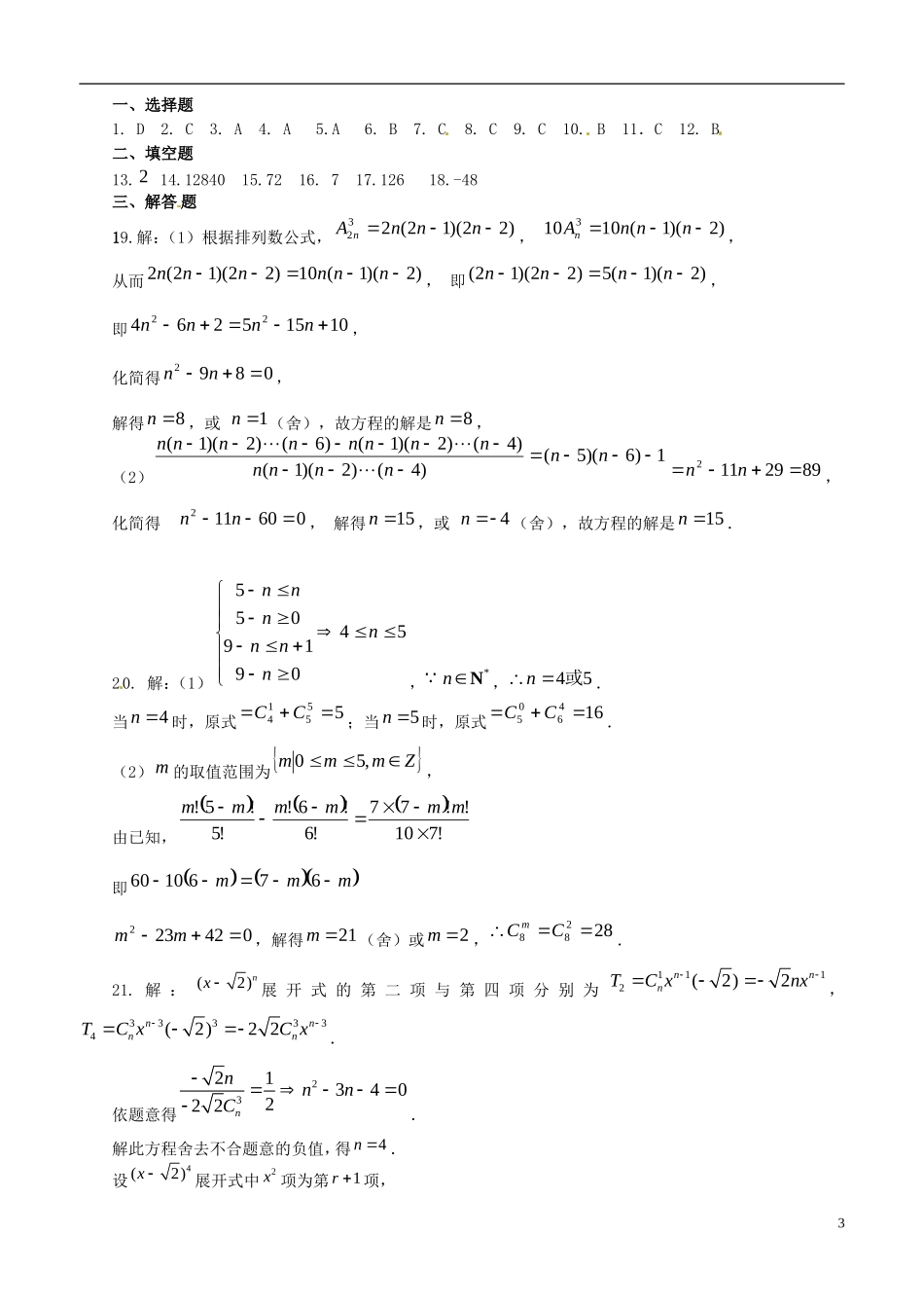
第一章计数原理(时间:120分钟满分:150分)学号:______班级:______姓名:______得分:______一、选择题(本大题共12小题,每小题5分,共60分)1.教学大楼共有五层,每层均有两个楼梯,由一层到五层的走法有()A.10种B.32种C.25种D.16种2.9(2)ab中第9的二项式系数是()A.99CB.9992CC.89CD.8892C3.在9(1)x的展开式中系数最大的项是()A.5B.6C.5和6D.74.如图,用4种不同的颜色涂入图中的矩形,,,ABCD中,要求相邻的矩形涂色不同,则不同的涂法有()A.72种B.48种C.24种D.12种5.若nx)21(展开式中含3x的项的系数等于含x的项的系数的8倍,则n等于()A.5B.7C.9D.116.将数字1,2,3,4,5,6拼成一列,记第i个数为(126)iai,,,,若11a,33a,55a,135aaa,则不同的排列方法种数为()A.18B.30C.36D.487.若29230123(1)(3)(2)(2)(2)xxaaxaxax1111(2)ax,则1211aaa的值为()A.0B.5C.5D.2558.下列问题中,答案为6666AA·的种数是()A.6男6女排成一行,同性都不相邻的排法数B.6男6女排成一行,女性都不相邻的排法数C.6男6女分六个兴趣不同的小组,每组一男一女的分组种数D.6男6女排成前后两排的排法数9.533121xx的展开式中x的系数是()A.4B.2C.2D.410.某台小型晚会由6个节目组成,演出顺序有如下要求:节目甲必须排在前两位、节目乙不能排在第一位,节目丙必须排在最后一位,该台晚会节目演出顺序的编排方案共有A.36种B.42种C.48种D.54种111.某通讯公司推出一组手机卡号码,卡号的前七位数字固定,从“0000”到“9999”共10000个号码.公司规定:凡卡号的后四位带有数字“4”或“7”的一律作为“优惠卡”,则这组号码中“优惠卡”的个数为A.2000B.4096C.5904D.832012.6名同学报考,,ABC三所院校,如果每一所院校至少有1人报考,则不同的报考方法共有().A.216种B.540种C.729种D.3240种二、填空题(本大题共6小题,每小题5分,共30分)13.若621xax的二项展开式中3x的系数为5,2则a__________.14.有3张都标着字母A,6张分别标着数字1,2,3,4,5,6的卡片,若任取其中6张卡片组成牌号,则可以组成的不同牌号的总数等于.(用数字作答)15.有五名男同志去外地出差,住宿安排在三个房间内,要求甲乙两人不住同一房间,且每个房间最多住二人,则不同的住宿安排有种(用数字作答)16.若1()2nxx的展开式中前三项的系数成等差数列,则展开式中4x项的系数为。17.现安排甲、乙、丙、丁、戌5名同学参加一次博览会的志愿者服务活动,每人从事翻译、导游、礼仪、司机四项工作之一,每项工作至少有一人参加.甲、乙不会开车但能从事其他三项工作,丙丁戌都能胜任四项工作,则不同安排方案的种数是.18.45(1)(2)xx展开式中2x项的系数是.三、解答题(本大题共6小题,共60分)19.(8分)解关于n的方程:(1)33210nnAA;(2)89557nnnAAA.20.(8分)解答下列问题:(1)求值nnnnCC915;(2)已知mmmCCC76510711,求mC8.21.(10分)设(2)nx展开式中,第二项与第四项的系数之比为1:2,试求含2x的项.22.(10分)某大医院有内科医生12名,外科医生8名,现要选派5人参加国际红十字会组织的志愿者活动.(1)某内科医生必须参加,某外科医生不能参加,有几种选法?(2)至少有1名内科医生和至少有1名外科医生参加,有几种选法?23.(12分)求证:22389()nnnN能被64整除.24.(12分)3名男生和3名女生共6名同学站成一排,若男生甲不站两端,3名女生中有且只有两名女生相邻,求不同排法的种数.参考答案2一、选择题1.D2.C3.A4.A5.A6.B7.C8.C9.C10.B11.C12.B二、填空题13.214.1284015.7216.717.12618.-48三、解答题19.解:(1)根据排列数公式,)22)(12(232nnnAn,)2)(1(10103nnnAn,从而)2)(1(10)22)(12(2nnnnnn,即)2)(1(5)22)(12(nnnn,即1015526422nnnn,化简得0892nn,解得8n,或1n(舍),故方程的解是8n,(2)1)6)(5()4()2)(1()4(...

1、当您付费下载文档后,您只拥有了使用权限,并不意味着购买了版权,文档只能用于自身使用,不得用于其他商业用途(如 [转卖]进行直接盈利或[编辑后售卖]进行间接盈利)。
2、本站所有内容均由合作方或网友上传,本站不对文档的完整性、权威性及其观点立场正确性做任何保证或承诺!文档内容仅供研究参考,付费前请自行鉴别。
3、如文档内容存在违规,或者侵犯商业秘密、侵犯著作权等,请点击“违规举报”。

碎片内容

高中数学 第一章 计数原理测试题 北师大版数学选修2-3-北师大版高二选修2-3数学试题

星河书苑+ 关注
实名认证
内容提供者

从事历史教学,热爱教育,高度负责。

确认删除?
VIP
微信客服
  • 扫码咨询
会员Q群
  • 会员专属群点击这里加入QQ群
客服邮箱
回到顶部