电脑桌面
添加小米粒文库到电脑桌面
安装后可以在桌面快捷访问

高二数学下学期 月考一 理 新人教A版选修2VIP免费

高二数学下学期 月考一 理 新人教A版选修2_第1页
1/5
高二数学下学期 月考一 理 新人教A版选修2_第2页
2/5
高二数学下学期 月考一 理 新人教A版选修2_第3页
3/5
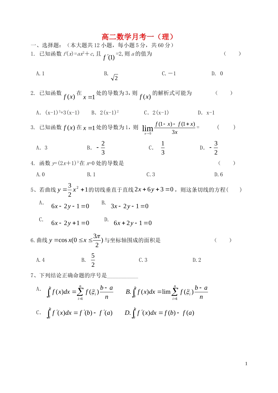
高二数学月考一(理)一、选择题:(本大题共12小题,每小题5分,共60分)1.已知函数f(x)=ax2+c,且(1)f=2,则a的值为()A.1B.2C.-1D.02.已知函数()fx在1x处的导数为3,则()fx的解析式可能为()A.(x-1)3+3(x-1)B.2(x-1)2C.2(x-1)D.x-13.已知函数()fx在1x处的导数为1,则0(1)(1)3limxfxfxx=()A.3B.23C.13D.324.函数y=(2x+1)3在x=0处的导数是()A.0B.1C.3D.65、若曲线1232xy的切线垂直于直线0362yx,则这条切线的方程()A.0126yxB.0123yxC.0126yxD.0126yx6.曲线3cos(0)2yxx与坐标轴围成的面积是()A.4B.52C.3D.27、下列结论正确命题的序号是___________A.nabfdxxfBnabfdxxfbaniibanii)(lim)(.)()(11C.babaafbfdxxfDafbfdxxf)()()(.)()()(18.函数313yxx有()A.极小值-1,极大值1B.极小值-2,极大值3C.极小值-1,极大值3D.极小值-2,极大值29.由3,1,132xxxy及x轴围成的图形的面积()A.20B.28C.30D.3210、把区间[2,4]n等分后,第i个小区间是()]22,)1(22.[]2,12.[]2,)1(2.[],1.[niniDniniCniniBniniA11.若函数2)(3axxxf在区间),1(内是增函数,则实数a的取值范围是()A.),3(B.),3[C.),3(D.)3,(12、f(x)是(0,+∞)上的非负可导函数,且0)()(xfxfx,对任意正数a,b,若a

1、当您付费下载文档后,您只拥有了使用权限,并不意味着购买了版权,文档只能用于自身使用,不得用于其他商业用途(如 [转卖]进行直接盈利或[编辑后售卖]进行间接盈利)。
2、本站所有内容均由合作方或网友上传,本站不对文档的完整性、权威性及其观点立场正确性做任何保证或承诺!文档内容仅供研究参考,付费前请自行鉴别。
3、如文档内容存在违规,或者侵犯商业秘密、侵犯著作权等,请点击“违规举报”。

碎片内容

高二数学下学期 月考一 理 新人教A版选修2

您可能关注的文档

星河书苑+ 关注
实名认证
内容提供者

从事历史教学,热爱教育,高度负责。

相关文档

确认删除?
微信客服
  • 扫码咨询
会员Q群
  • 会员专属群点击这里加入QQ群