电脑桌面
添加小米粒文库到电脑桌面
安装后可以在桌面快捷访问

函数、数列、解析几何期末复习VIP免费

函数、数列、解析几何期末复习_第1页
1/5
函数、数列、解析几何期末复习_第2页
2/5
函数、数列、解析几何期末复习_第3页
3/5
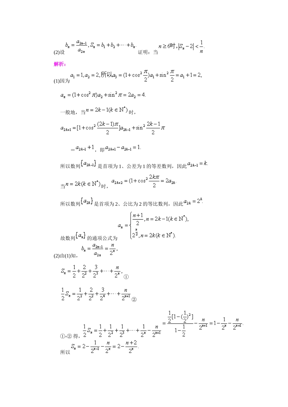
函数、数列、解析几何期末复习在高中数学中,函数、数列、解析是三个重要的考查内容。对于函数,要掌握研究函数性质的基本方法:定义或者数形结合或者导数;对于数列,要关注数列通项和前n项和的求解方法,并应用数列通项去处理相关数列问题。解析几何是通过方程来研究曲线的性质,通常就是直线与曲线的位置关系的判断或衍生问题,处理的基本方法就是直线与曲线方程联立,然后利用根系关系进行代数式的化简与变形。例题选讲1.已知双曲线的一条渐近线方程为,两条准线的距离为1.(1)求双曲线的方程;(2)直线过坐标原点O且和双曲线交于两点M、N,点P为双曲线上异于M,N的一点,且直线PM,PN的斜率、均存在,求k1·k2的值.解析:(1)依题意有:所以双曲线方程为(2)法一:由题可知直线的斜率存在,设为k,则的方程为y=kx与双曲线方程联立得,消y得.设M、N的坐标分别为,,则是方程的两根,于是,所以,则,.所以.法二:设所以点评:解析几何问题通常有通法(直线曲线方程联立),但是如果能结合具体的问题,也会有相对简便快捷的方法。2.数列(1)求并求数列的通项公式;(2)设证明:当解析:(1)因为一般地,当时,=,即所以数列是首项为1、公差为1的等差数列,因此当时,所以数列是首项为2、公比为2的等比数列,因此故数列的通项公式为(2)由(1)知,①②①-②得,所以要证明当时,成立,只需证明当时,成立.用归纳法证明:(1)当n=6时,成立.(2)假设当时不等式成立,即则当n=k+1时,由(1)、(2)所述,当n≥6时,,即当n≥6时,综上所述,当时,点评:数列问题的关键是求出通项,要能熟练的根据递推关系找到求解通项的方法,数列求和时也是先分析通项特征再选择相应方法。3.设函数在,处取得极值,且.(1)若,求的值,并求的单调区间;(2)若,求的取值范围.解析:.①(1)当时,;由题意知为方程的两根,所以.由,得.从而,.当时,;当时,.故在单调递减,在,单调递增.(2)由①式及题意知为方程的两根,所以.从而,由上式及题设知.考虑,.故在单调递增,在单调递减,从而在的极大值为.又在上只有一个极值,所以为在上的最大值,且最小值为.所以,即的取值范围为.

1、当您付费下载文档后,您只拥有了使用权限,并不意味着购买了版权,文档只能用于自身使用,不得用于其他商业用途(如 [转卖]进行直接盈利或[编辑后售卖]进行间接盈利)。
2、本站所有内容均由合作方或网友上传,本站不对文档的完整性、权威性及其观点立场正确性做任何保证或承诺!文档内容仅供研究参考,付费前请自行鉴别。
3、如文档内容存在违规,或者侵犯商业秘密、侵犯著作权等,请点击“违规举报”。

碎片内容

函数、数列、解析几何期末复习

慧源书店+ 关注
实名认证
内容提供者

从事历史教学,热爱教育,高度负责。

相关文档

确认删除?
VIP
微信客服
  • 扫码咨询
会员Q群
  • 会员专属群点击这里加入QQ群
客服邮箱
回到顶部