电脑桌面
添加小米粒文库到电脑桌面
安装后可以在桌面快捷访问

一元二次方程期末复习试题VIP免费

一元二次方程期末复习试题_第1页
1/20
一元二次方程期末复习试题_第2页
2/20
一元二次方程期末复习试题_第3页
3/20
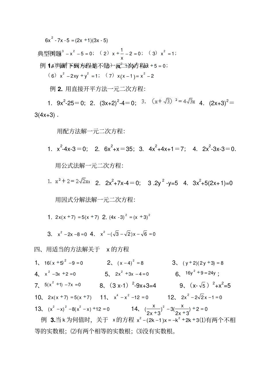
《一元二次方程》期末复习试题1.一元二次方程的概念:(1)注意一元二次方程定义中的三个条件:有一个未知数,含未知数的最高次是2,整式方程,是判断一个方程是否是一元二次方程的依据。(2)强调:要先把一元二次方程化为一般形式ax2+bx+c=0(a≠0),才能确定a、b、c的值。2.一元二次方程的解法:(1)直接开平方法:它是以平方根的概念为基础,适合于形如,类型的方程。axbcac200()(2)配方法:先把二次项系数化为,再对进行配方,即在方程两边同时加上一次项系数一半的平方,就能配出一个含有未知数的一次式的完全平方式,变形为:的形式,再直接开平方解方程。1xpxpxmnn22220()(3)公式法:用配方法推导求根公式,由此产生了第三种解法公式法,它是解一元二次方程的主要方法,是解一元二次方程的通法。关键是把方程整理成一元二次方程的一般形式,确认、、的值(特别要注意正、负号),求出的值(以便决定有无必要代入求根公式),若,则代入求根公式。abcbacbacxbbaca22244042(4)因式分解法:适用于方程左边易于分解,而右边是零的方程。我们在解一元二次方程时,要注意根据方程的特点,选择适当的解法,使解题过程简捷些。一般先考虑直接开平方法,再考虑因式分解法,最后考虑公式法。对于二次项系数含有字母系数的方程,要注意分类讨论。3.一元二次方程根的判别式来判断。即根的情况可以用判别式一元二次方程acbacbxax40022根的判别式△=b2-4ac的意义,在于不解方程可以判别根的情况,还可以根据根的情况确定未知系数的取值范围。4.一元二次方程根与系数关系。已知、是一元二次方程++=的两个根,那么,,,逆命题也成立。xxaxbxcaxxbaxxca122121200一元二次方程的两根和与两根积和系数的关系在以下几个方面有着广泛的应用:(1)已知方程的一根,求另一个根和待定系数的值。(2)不解方程,求某些代数式的值。(3)已知两个数,求作以这两个数为根的一元二次方程。(4)已知两数和与积,求这两个数。(5)二次三项式的因式分解。⋯⋯运用根与系数的关系,可以大大缩减了复杂的运算量,避免进行无理数的计算。注意:在应用根与系数的关系时,不要忽略隐含条件。00a5.分式方程的解法一般有两种:即去分母法和换元法。解分式方程时,需要将方程的两边同时乘以各分式的最简公分母,从而约去各分母,把原来的分式方程转化为整式方程,在转化的过程中可能产生增根,所以在解分式方程时必须验根。6.二次三项式的配方判断一元二次方程根的情况时常用02m02m04322k04322k7.十字相乘法3)2)(2x(x67x2x21)-3)(2x-(x37x-2x25)-1)(3x(2x5-7x-6x2典型例题例1.判断下列方程是不是一元二次方程?();();();();();();()150212031405150621712322222222xxxxxaxbxcaxaxxxyyxxx例2.用直接开平方法一元二次方程:1.9x2-25=0;2.(3x+2)2-4=0;4.(2x+3)2=3(4x+3).用配方法解一元二次方程:1.x2-4x-3=0;2.6x2+x=35;3.4x2+4x+1=7;4.2x2-3x-3=0.用公式法解一元二次方程:2.2x2+7x-4=0;3.2y2-y=54.3x2+5(2x+1)=0用因式分解法解一元二次方程:1.)7(5)7(2xxx2.223)(x3)-(4x3.0822xx4.06)23(2xx四、用适当的方法解关于x的方程1、095162)(x2、8)4(2x3、8)32)(2(yy4、02x3x25、04x3x226、y249y162;7、0x7)1x(528、(3x-1)2-9x+3=49、(x-5)2+x2=510、)7(5)7(2xxx11、01224xx12、012222xx13、012)(8)(222xxxx14、02)32(3)32(2xxxx例3.当k为何值时,关于x的方程222123xkxkk⑴有两个不相等的实数根;⑵有两个相等的实数根;⑶没有实数根。例4.mxmxmxm为何值时,关于的方程有两个相等的实数根?并2350求出这时方程的根。例5.已知方程的两实数根为、,不解方程求下列各式的值。xx2310();();();();();()12341156343223322解:、是方程的两个实数根xx231031,2231013,则;2231013,则。()12321112222()2111113322()31111122()41111313()5434113222(6)由根的定义代进去,构成关于根的方程再降次。3432231341337979334例6.已知关于的方程xxkxk2220(1)求证:无论k取任何实数值,方程总有实数根。(2)若等腰三角形的一...

1、当您付费下载文档后,您只拥有了使用权限,并不意味着购买了版权,文档只能用于自身使用,不得用于其他商业用途(如 [转卖]进行直接盈利或[编辑后售卖]进行间接盈利)。
2、本站所有内容均由合作方或网友上传,本站不对文档的完整性、权威性及其观点立场正确性做任何保证或承诺!文档内容仅供研究参考,付费前请自行鉴别。
3、如文档内容存在违规,或者侵犯商业秘密、侵犯著作权等,请点击“违规举报”。

碎片内容

一元二次方程期末复习试题

确认删除?
VIP
微信客服
  • 扫码咨询
会员Q群
  • 会员专属群点击这里加入QQ群
客服邮箱
回到顶部