电脑桌面
添加小米粒文库到电脑桌面
安装后可以在桌面快捷访问

高二数学周末练习(四)(文科)VIP免费

高二数学周末练习(四)(文科)_第1页
1/4
高二数学周末练习(四)(文科)_第2页
2/4
高二数学周末练习(四)(文科)_第3页
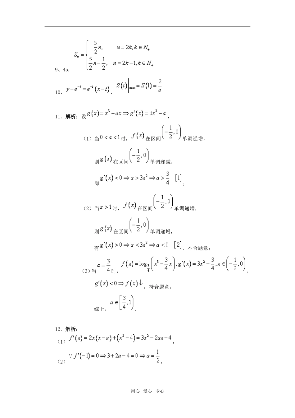
3/4
高二数学周末练习(四)(文科)本周习题:1、过点(-1,0)作抛物线的切线,则其中一条切线为()(A)(B)(C)(D)2、设、分别是定义在R上的奇函数和偶函数,当时,且,则不等式的解集()(A)(B)(C)(D)3、函数在闭区间[-3,0]上的最大值是___________,最小值是___________.4、已知函数,则与的大小关系___________.5、曲线和在它们交点处的两条切线与轴所围成的三角形面积是___________.6、设函数.若是奇函数,则__________.7、已知在(0,1)内有极小值,则实数的取值范围是___________.8、在等差数列中,若,则有等式用心爱心专心成立,类比上述性质,相应地:在等比数列中,若,则有等式___________成立.9、定义“等和数列”:在一个数列中,如果每一项与它的后一项的和都为同一个常数,那么这个数列叫做等和数列,这个常数叫做该数列的公和.已知数列是等和数列,且,公和为5,那么的值为___________,这个数列的前项和的计算公式为___________.10、设曲线y=e-x(x≥0)在点M(t,e-t)处的切线l与x轴、y轴所围成的三角形面积为S(t),则切线l的方程是___________,S(t)的最大值是___________.11、若函数f(x)=loga(x3-ax)(a>0,a≠1)在区间单调递增,求a的取值范围.12、已知a为实数,f(x)=(x2-4)(x-a).①求导数;②若=0,求f(x)在[-2,2]上的最大值和最小值;③若f(x)在和都是单调递增的,求a的取值范围.参考答案:1、D2、D3、;.4、.5、6、7、(0,1)8、用心爱心专心9、45,10、,11.解析:设,(1)当时,在区间单调递增,则在区间单调递减,即;(2)当时,在区间单调递增,则在区间单调递增,有,不合题意;(3)当时,,,符合题意,综上,.12、解析:(1),(2),用心爱心专心,,,如下表,-2-12+0-0+00则在[-2,2]上的最大值和最小值分别为和.(3),在和都是单调递增的,即有在和上成立,令,方程[1]总有两个不等实根,只需要:用心爱心专心

1、当您付费下载文档后,您只拥有了使用权限,并不意味着购买了版权,文档只能用于自身使用,不得用于其他商业用途(如 [转卖]进行直接盈利或[编辑后售卖]进行间接盈利)。
2、本站所有内容均由合作方或网友上传,本站不对文档的完整性、权威性及其观点立场正确性做任何保证或承诺!文档内容仅供研究参考,付费前请自行鉴别。
3、如文档内容存在违规,或者侵犯商业秘密、侵犯著作权等,请点击“违规举报”。

碎片内容

高二数学周末练习(四)(文科)

您可能关注的文档

海博书城+ 关注
实名认证
内容提供者

从事历史教学,热爱教育,高度负责。

确认删除?
VIP
微信客服
  • 扫码咨询
会员Q群
  • 会员专属群点击这里加入QQ群
客服邮箱
回到顶部