电脑桌面
添加小米粒文库到电脑桌面
安装后可以在桌面快捷访问

圆锥曲线 北京市届高三数学期末试卷分类汇编第二辑(不等式、圆锥曲线、复数、函数、概率) 北京市届高三数学期末试卷分类汇编第二辑(不等式、圆锥曲线、复数、函数、概率)VIP免费

圆锥曲线 北京市届高三数学期末试卷分类汇编第二辑(不等式、圆锥曲线、复数、函数、概率) 北京市届高三数学期末试卷分类汇编第二辑(不等式、圆锥曲线、复数、函数、概率)_第1页
1/12
圆锥曲线 北京市届高三数学期末试卷分类汇编第二辑(不等式、圆锥曲线、复数、函数、概率) 北京市届高三数学期末试卷分类汇编第二辑(不等式、圆锥曲线、复数、函数、概率)_第2页
2/12
圆锥曲线 北京市届高三数学期末试卷分类汇编第二辑(不等式、圆锥曲线、复数、函数、概率) 北京市届高三数学期末试卷分类汇编第二辑(不等式、圆锥曲线、复数、函数、概率)_第3页
3/12
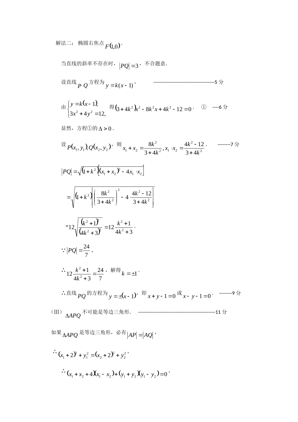
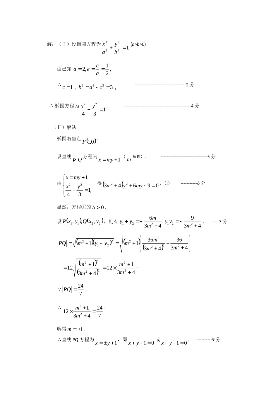
北京市2009届高三数学期末试题分类汇总-圆锥曲线珠海市第四中学邱金龙1、(2009崇文区)已知点)0,1(M,直线1:xl,点B是l上的动点,过点B垂直于y轴的直线与线段BM的垂直平分线交于点P,则点P的轨迹是A(A)抛物线(B)椭圆(C)双曲线的一支(D)直线3、(2009丰台区).双曲线15422xy的焦点坐标为()DA.(–1,0),(1,0)B(–3,0),(3,0)C.(0,–1),(0,1)D.(0,–3),(0,3)4、(2009东城区)已知垂直竖在水平地面上相距20米的两根旗杆的高分别为10米和15米,地面上的动点P到两旗杆顶点的仰角相等,则点P的轨迹是()BA.椭圆B.圆C.双曲线D.抛物线5、(2009海淀区)抛物线22xy的准线方程为()AA.81yB.41yC.21yD.1y6、(2009西城区)已知圆22(2)36xy的圆心为M,设A为圆上任一点,(2,0)N,线段AN的垂直平分线交MA于点P,则动点P的轨迹是()BA.圆B.椭圆C.双曲线D.抛物线7、(2009崇文区)已知椭圆C的中心在坐标原点,左顶点0,2A,离心率21e,F为右焦点,过焦点F的直线交椭圆C于P、Q两点(不同于点A).(Ⅰ)求椭圆C的方程;(Ⅱ)当724PQ时,求直线PQ的方程;(Ⅲ)判断ABC能否成为等边三角形,并说明理由.解:(Ⅰ)设椭圆方程为12222byax(a>b>0),由已知,21,2acea∴2221,3,cbac----------------------------------2分∴椭圆方程为13422yx.---------------------------------------------4分(Ⅱ)解法一椭圆右焦点0,1F.设直线PQ方程为1xmy(m∈R).-------------------------------5分由221,1,43xmyxy得0964322myym.①-----------6分显然,方程①的0.设2211,,,yxQyxP,则有439,436221221myymmyy.----7分4336433611222222212mmmmyymPQ4311243112222222mmmm. 724PQ,∴7244311222mm.解得1m.∴直线PQ方程为1yx,即01yx或01yx.----------9分解法二:椭圆右焦点0,1F.当直线的斜率不存在时,3PQ,不合题意.设直线PQ方程为)1(xky,--------------------------------------5分由,1243,122yxxky得01248432222kxkxk.①----6分显然,方程①的0.设2211,,,yxQyxP,则2221222143124,438kkxxkkxx.--------7分21221241xxxxkPQ2222224312444381kkkkk=3411234112222222kkkk. 724PQ,∴7243411222kk,解得1k.∴直线PQ的方程为1xy,即01yx或01yx.--------9分(Ⅲ)APQ不可能是等边三角形.------------------------------------------------11分如果APQ是等边三角形,必有AQAP,∴2222212122yxyx,∴0421212121yyyyxxxx,∴0621212121yyyyyymyym, 21yy,∴061212myym,∴06436122mmmm,∴0m,或143122mm(无解).而当0m时,353,2PQAPAQ,不能构成等边三角形.∴APQ不可能是等边三角形.--------------------------------------------------------14分8、(2009丰台区)设椭圆M:12222byax(a>b>0)的离心率为22,长轴长为26,设过右焦点F倾斜角为的直线交椭圆M于A,B两点。(Ⅰ)求椭圆M的方程;(Ⅱ)求证|AB|=2sin126;(Ⅲ)设过右焦点F且与直线AB垂直的直线交椭圆M于C,D,求|AB|+|CD|的最小值。解:(Ⅰ)22222262cabaca3323bca所求椭圆M的方程为191822yx…3分(Ⅱ)当≠2,设直线AB的斜率为k=tan,焦点F(3,0),则直线AB的方程为y=k(x–3)有1918322yxkkxy(1+2k2)x2–12k2x+18(k2–1)=0设点A(x1,y1),B(x2,y2)有x1+x2=222112kk,x1x2=2221118kk|AB...

1、当您付费下载文档后,您只拥有了使用权限,并不意味着购买了版权,文档只能用于自身使用,不得用于其他商业用途(如 [转卖]进行直接盈利或[编辑后售卖]进行间接盈利)。
2、本站所有内容均由合作方或网友上传,本站不对文档的完整性、权威性及其观点立场正确性做任何保证或承诺!文档内容仅供研究参考,付费前请自行鉴别。
3、如文档内容存在违规,或者侵犯商业秘密、侵犯著作权等,请点击“违规举报”。

碎片内容

圆锥曲线 北京市届高三数学期末试卷分类汇编第二辑(不等式、圆锥曲线、复数、函数、概率) 北京市届高三数学期末试卷分类汇编第二辑(不等式、圆锥曲线、复数、函数、概率)

慧源书店+ 关注
实名认证
内容提供者

从事历史教学,热爱教育,高度负责。

确认删除?
VIP
微信客服
  • 扫码咨询
会员Q群
  • 会员专属群点击这里加入QQ群
客服邮箱
回到顶部