电脑桌面
添加小米粒文库到电脑桌面
安装后可以在桌面快捷访问

山东省潍坊市高三数学11月质量检测 文试卷VIP免费

山东省潍坊市高三数学11月质量检测 文试卷_第1页
1/7
山东省潍坊市高三数学11月质量检测 文试卷_第2页
2/7
山东省潍坊市高三数学11月质量检测 文试卷_第3页
3/7
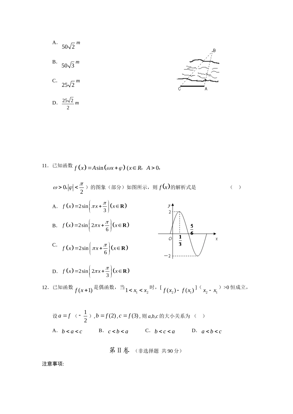
山东省潍坊市2011届高三11月质量检测数学(文)试题本试卷共4页,分第Ⅰ卷(选择题)和第Ⅱ卷(非选择题)两部分,共150分,考试时间120分钟.第I卷(共60分)注意事项:1.答第Ⅰ卷前,考生务必将自己的姓名、准考证号、考试科目用铅笔涂写在答题卡上.2.每题选出答案后,用2B铅笔把答题卡对应题目的答案标号涂黑.如需改动,用橡皮擦干净后,再改涂在其它答案标号.一、选择题:本大题共12小题,每小题5分,共60分.在每小题给出的四个选项中,只有一项是符合题目要求的.1.设全集U=R,集合}02|{2xxxA,{|1}Bxx,则集合AUðB=()A.}10|{xxB.}10|{xxC.}20|{xxD.}1|{xx2.下列函数图象中不正确的是()3.已知点(tan,cos)P在第三象限,则角的终边在()A.第一象限B.第二象限C.第三象限D.第四象限4.函数xxy26ln的零点一定位于的区间是()A.(0,1)B.(1,2)C.(2,3)D.(3,4)5.给出如下四个命题:①若“p且q”为假命题,则p、q均为假命题;②命题“若122,baba则”的否命题为“若ab,则221ab”;③“∀x∈R,x2+1≥1”的否定是“x∈R,x2+1≤1”;④在ABC中,“AB”是“sinsinAB”的充要条件.其中不正确的命题的个数是()A.4B.3C.2D.16.三个数7.06,67.0,6log7.0的大小顺序是()A.7.07.0666log7.0B.6log67.07.07.06C.67.07.07.066logD.7.067.067.06log7.已知实数x、y满足0401xyxyx≥≥≤,则yx2的最小值是()A.3B.2C.0D.18.函数sin2yx的图象经过适当变换可以得到cos2yx的图象,则这种变换可以是()A.沿x轴向右平移4个单位B.沿x轴向左平移4个单位C.沿x轴向左平移2个单位D.沿x轴向右平移2个单位9.若曲线xxxf4)(在点P处的切线平行于直线03yx,则点P的坐标为()A.(1,0)B.(1,5)C.(1,-3)D.(-1,2)10.如图,设A、B两点在河的两岸,一测量者在A的同侧,在所在的河岸边选定一点C,测出AC的距离为50m,∠ACB=45°,∠CAB=105°后,就可以计算出A、B两点的距离为()A.502mB.503mC.252mD.2522m11.已知函数sinfxAx(0xRA,,02,)的图象(部分)如图所示,则xf的解析式是()A.2sin3fxxxRB.2sin26fxxxRC.2sin6fxxxRD.2sin23fxxxR12.已知函数(1)fx是偶函数,当121xx时,[21()()fxfx](21xx)>0恒成立,设af(12),(2)bf,(3)cf,则a,b,c的大小关系为()A.bacB.cbaC.bcaD.abc第Ⅱ卷(非选择题共90分)注意事项:1.第Ⅱ卷包括填空题和解答题共两个大题.2.第Ⅱ卷所有题目的答案考生需用黑色签字笔答在“数学”答题卡指定的位置.二、填空题:本大题共4个小题,每小题4分,共16分.13.函数1sin3)(xxxf()xR,若2)(tf,则)(tf的值为.14.已知1tan,4则2cos2sin的值为.15.已知0,1)1(0,cos)(xxfxxxf,则4()3f的值为__________.16.下列命题:①设a,b是非零实数,若a<b,则baab22;②若0ab,则11ab;③函数2)3(222xxy的最小值是4;④若x,y是正数,且141xy,则xy有最小值16.其中正确命题的序号是.三、解答题:本大题共6小题,共74分.解答应写出文字说明,证明过程或演算步骤.17.(本小题满分12分)设函数22cos3sin2fxxx.(I)求函数fx的最小正周期和单调递增区间;(Ⅱ)当0,3x时,求fx的最大值.18.(本小题满分12分)若关于x的不等式[(3)](2)0xaxa的解集是A,2ln(32)yxx的定义域是B,若ABA,求实数a的取值范围.19.(本小题满分12分)在ABC中,a、b、c分别为A、B、C的对边,已知tantan31tantanABAB,7c,三角形面积为332.(I)求C的大小;(Ⅱ)求ab的值.20.(本小题满分12分)设命题p:函数()fx=logax在(0,)上单调递增;q:关于x的方程x2+2x...

1、当您付费下载文档后,您只拥有了使用权限,并不意味着购买了版权,文档只能用于自身使用,不得用于其他商业用途(如 [转卖]进行直接盈利或[编辑后售卖]进行间接盈利)。
2、本站所有内容均由合作方或网友上传,本站不对文档的完整性、权威性及其观点立场正确性做任何保证或承诺!文档内容仅供研究参考,付费前请自行鉴别。
3、如文档内容存在违规,或者侵犯商业秘密、侵犯著作权等,请点击“违规举报”。

碎片内容

山东省潍坊市高三数学11月质量检测 文试卷

慧源书店+ 关注
实名认证
内容提供者

从事历史教学,热爱教育,高度负责。

确认删除?
VIP
微信客服
  • 扫码咨询
会员Q群
  • 会员专属群点击这里加入QQ群
客服邮箱
回到顶部