电脑桌面
添加小米粒文库到电脑桌面
安装后可以在桌面快捷访问

电力工程材料重量一览表VIP免费

电力工程材料重量一览表_第1页
1/33
电力工程材料重量一览表_第2页
2/33
电力工程材料重量一览表_第3页
3/33
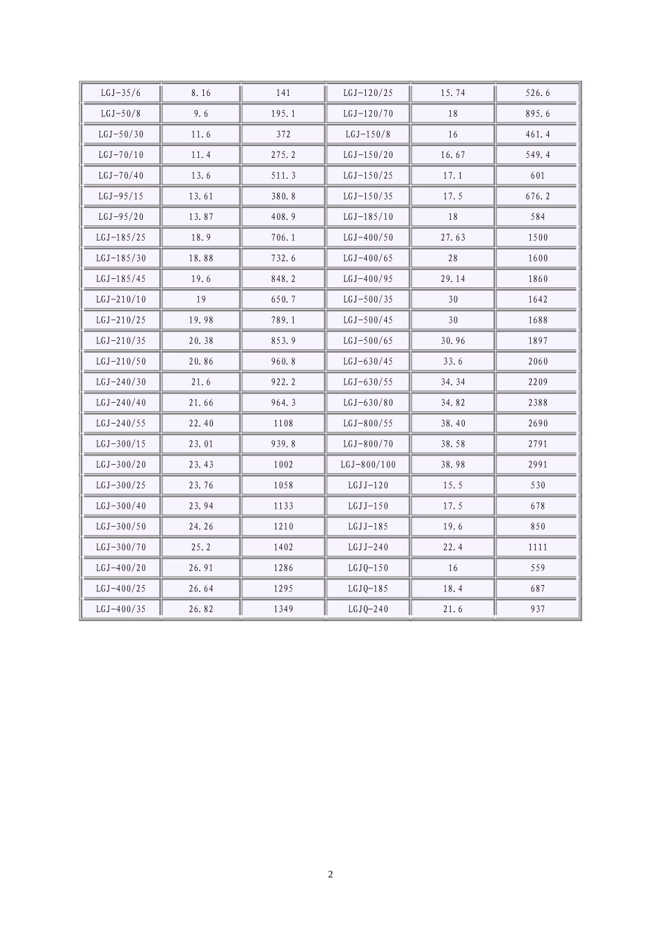
电力工程材料重量查询表目录0一、导线......................................................................21.1LGJ型钢芯铝绞线..........................................................21.2GJ型钢绞线...............................................................31.3JKLGYJ型架空绝缘线.......................................................41.4JKLYJ型绝缘线............................................................5二、线路刚性绝缘子............................................................72.1高压线路针式瓷绝缘子......................................................72.2高压悬式绝缘子............................................................72.3低压线路蝶式绝缘子........................................................7三、线路金具..................................................................83.1横担......................................................................83.2U型挂环.................................................................103.3直角挂板(Z型).........................................................113.4球头挂杯.................................................................123.5碗头挂板.................................................................133.6平行挂板(P型).........................................................14四、紧固件重量表.............................................................164.1、双头螺栓重量表..........................................................164.2六角头螺栓重量表.........................................................184.3六角螺母规格重量表.......................................................204.4垫圈规格重量表...........................................................204.41斜垫圈规格重量表........................................................204.42弹簧垫圈规格重量表......................................................214.43平垫圈规格重量表........................................................21五、热轧扁钢每米重量表.......................................................22六、水泥电杆等重量...........................................................28七、设备.....................................................................297.1变压器...................................................................297.210kV成套高压开关柜.....................................................307.3低压成套配电柜...........................................................307.4配电设备.................................................................30一、导线1.1LGJ型钢芯铝绞线标称截面铝/钢(mm2)外径(mm)重量(kg/km)标称截面铝/钢(mm2)外径(mm)重量(kg/km)LGJ-10/24.542.9LGJ-95/5516707.7LGJ-16/35.5565.2LGJ-120/714.5379LGJ-25/46.96102.6LGJ-120/2015.07466.81LGJ-35/68.16141LGJ-120/2515.74526.6LGJ-50/89.6195.1LGJ-120/7018895.6LGJ-50/3011.6372LGJ-150/816461.4LGJ-70/1011.4275.2LGJ-150/2016.67549.4LGJ-70/4013.6511.3LGJ-150/2517.1601LGJ-95/1513.61380.8LGJ-150/3517.5676.2LGJ-95/2013.87408.9LGJ-185/1018584LGJ-185/2518.9706.1LGJ-400/5027.631500LGJ-185/3018.88732.6LGJ-400/65281600LGJ-185/4519.6848.2LGJ-400/9529.141860LGJ-210/1019650.7LGJ-500/35301642LGJ-210/2519.98789.1LGJ-500/45301688LGJ-210/3520.38853.9LGJ-500/6530.961897LGJ-210/5020.86960.8LGJ-630/4533.62060LGJ-240/3021.6922.2LGJ-630/5534.342209LGJ-240/4021.66964.3LGJ-630/8034.822388LGJ-240/5522.401108LGJ-800/5538.402690LGJ-300/1523.01939.8LGJ-800/7038.582791LGJ-300/2023.431002LGJ-800/1...

1、当您付费下载文档后,您只拥有了使用权限,并不意味着购买了版权,文档只能用于自身使用,不得用于其他商业用途(如 [转卖]进行直接盈利或[编辑后售卖]进行间接盈利)。
2、本站所有内容均由合作方或网友上传,本站不对文档的完整性、权威性及其观点立场正确性做任何保证或承诺!文档内容仅供研究参考,付费前请自行鉴别。
3、如文档内容存在违规,或者侵犯商业秘密、侵犯著作权等,请点击“违规举报”。

碎片内容

电力工程材料重量一览表

您可能关注的文档

确认删除?
VIP
微信客服
  • 扫码咨询
会员Q群
  • 会员专属群点击这里加入QQ群
客服邮箱
回到顶部