电脑桌面
添加小米粒文库到电脑桌面
安装后可以在桌面快捷访问

八年级下册二次根式知识点总结和练习题及答案VIP免费

八年级下册二次根式知识点总结和练习题及答案_第1页
1/8
八年级下册二次根式知识点总结和练习题及答案_第2页
2/8
八年级下册二次根式知识点总结和练习题及答案_第3页
3/8
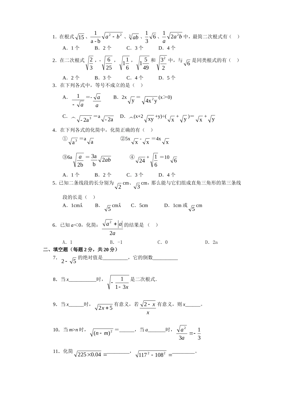
二次根式的知识点汇总知识点一:二次根式的概念形如()的式子叫做二次根式。注:在二次根式中,被开放数可以是数,也可以是单项式、多项式、分式等代数式,但必须注意:因为负数没有平方根,所以是为二次根式的前提条件,如,,等是二次根式,而,等都不是二次根式。知识点二:取值范围1.二次根式有意义的条件:由二次根式的意义可知,当a≧0时,有意义,是二次根式,所以要使二次根式有意义,只要使被开方数大于或等于零即可。2.二次根式无意义的条件:因负数没有算术平方根,所以当a﹤0时,没有意义。知识点三:二次根式()的非负性()表示a的算术平方根,也就是说,()是一个非负数,即0()。注:因为二次根式()表示a的算术平方根,而正数的算术平方根是正数,0的算术平方根是0,所以非负数()的算术平方根是非负数,即0(),这个性质也就是非负数的算术平方根的性质,和绝对值、偶次方类似。这个性质在解答题目时应用较多,如若,则a=0,b=0;若,则a=0,b=0;若,则a=0,b=0。知识点四:二次根式()的性质()文字语言叙述为:一个非负数的算术平方根的平方等于这个非负数。注:二次根式的性质公式()是逆用平方根的定义得出的结论。上面的公式也可以反过来应用:若,则,如:,.知识点五:二次根式的性质文字语言叙述为:一个数的平方的算术平方根等于这个数的绝对值。注:1、化简时,一定要弄明白被开方数的底数a是正数还是负数,若是正数或0,则等于a本身,即;若a是负数,则等于a的相反数-a,即;2、中的a的取值范围可以是任意实数,即不论a取何值,一定有意义;3、化简时,先将它化成,再根据绝对值的意义来进行化简。知识点六:与的异同点1、不同点:与表示的意义是不同的,表示一个正数a的算术平方根的平方,而表示一个实数a的平方的算术平方根;在中,而中a可以是正实数,0,负实数。但与都是非负数,即,。因而它的运算的结果是有差别的,,而2、相同点:当被开方数都是非负数,即时,=;时,无意义,而.知识点七:二次根式的运算(1)因式的外移和内移:如果被开方数中有的因式能够开得尽方,那么,就可以用它的算术根代替而移到根号外面;如果被开方数是代数和的形式,那么先解因式,变形为积的形式,再移因式到根号外面,反之也可以将根号外面的正因式平方后移到根号里面.(2)二次根式的加减法:先把二次根式化成最简二次根式再合并同类二次根式.(3)二次根式的乘除法:二次根式相乘(除),将被开方数相乘(除),所得的积(商)仍作积(商)的被开方数并将运算结果化为最简二次根式.ab=a·b(a≥0,b≥0);bbaa(b≥0,a>0).(4)有理数的加法交换律、结合律,乘法交换律及结合律,乘法对加法的分配律以及多项式的乘法公式,都适用于二次根式的运算.《二次根式》练习题(一)一、选择题(共12分)1.在根式15、22b-a1ba、3ab、631、baa221中,最简二次根式有()A.1个B.2个C.3个D.4个2.在二次根式32,-256,611,4951和232中,与6是同类根式的有()A.2个B.3个C.4个D.5个3.在下列各式中,等号不成立的是()A.a1=-aaB.2xy=y4x2(x>0)C.32a-=a2a-D.(x+2xy+y)÷(x+y)=x+y4.在下列各式的化简中,化简正确的有()①3a=aa5x②x-x=4xx6a③2ba=ab2b3a④24+61=106A.1个B.2个C.3个D.4个5.已知二条线段的长分别为2cm、3cm,那么能与它们组成直角三角形的第三条线段的长是()A.1cmB.5cmC.5cmD.1cm或5cm6.已知a<0,化简:aaa22的结果是()A.1B.-1C.0D.2a二、填空题(每题2分,共20分)7.52的绝对值是__________,它的倒数__________8.当x___________时,x311是二次根式.9.当x______时,52x有意义,若xx2有意义,则x______。10.当m>n时,2)(mn=______,当a_______时,3132aa11.化简04.0225_________,22108117_________。12.计算:ba10253___________.13.若最简二次根式1522x与-172x是同类二次根式,则x=______。14.把根式aa1根号外的a移到根号内,得___________。15.二次根式x33与ax2的和是一个二次根式,则正整数a的最小值为;其和为。16.观...

1、当您付费下载文档后,您只拥有了使用权限,并不意味着购买了版权,文档只能用于自身使用,不得用于其他商业用途(如 [转卖]进行直接盈利或[编辑后售卖]进行间接盈利)。
2、本站所有内容均由合作方或网友上传,本站不对文档的完整性、权威性及其观点立场正确性做任何保证或承诺!文档内容仅供研究参考,付费前请自行鉴别。
3、如文档内容存在违规,或者侵犯商业秘密、侵犯著作权等,请点击“违规举报”。

碎片内容

八年级下册二次根式知识点总结和练习题及答案

您可能关注的文档

文章天下+ 关注
实名认证
内容提供者

各种文档应有尽有

确认删除?
VIP
微信客服
  • 扫码咨询
会员Q群
  • 会员专属群点击这里加入QQ群
客服邮箱
回到顶部