电脑桌面
添加小米粒文库到电脑桌面
安装后可以在桌面快捷访问

七年级数数学绝对值化简专题训练试题VIP免费

七年级数数学绝对值化简专题训练试题_第1页
1/4
七年级数数学绝对值化简专题训练试题_第2页
2/4
七年级数数学绝对值化简专题训练试题_第3页
3/4
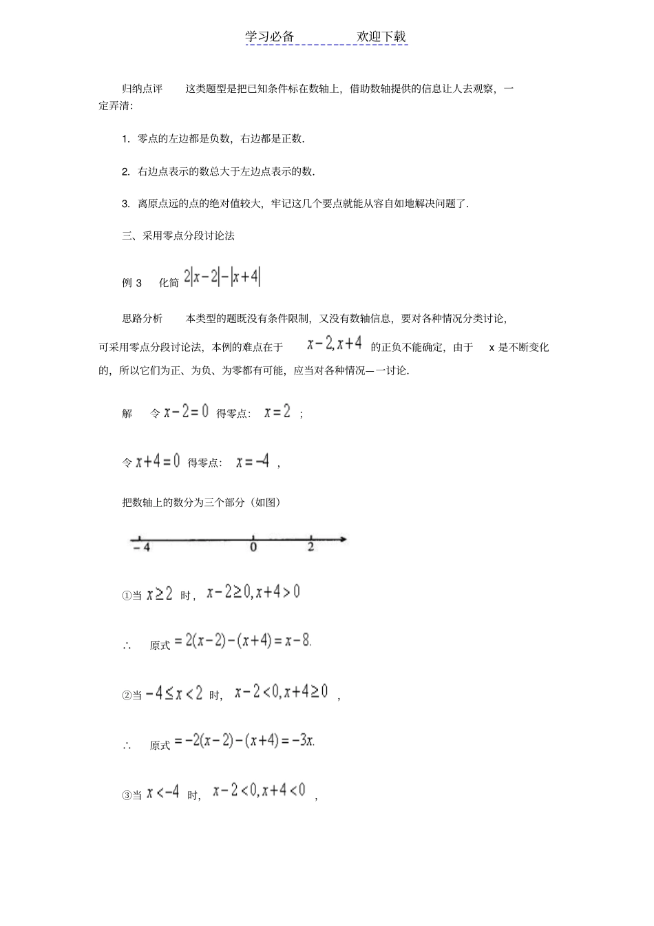
学习必备欢迎下载绝对值的知识是初中代数的重要内容,在中考和各类竞赛中经常出现,含有绝对值符号的数学问题又是学生遇到的难点之一,解决这类问题的方法通常是利用绝对值的意义,将绝对值符号化去,将问题转化为不含绝对值符号的问题,确定绝对值符号内部分的正负,借以去掉绝对值符号的方法大致有三种类型。一、根据题设条件例1设化简的结果是()。(A)(B)(C)(D)思路分析由可知可化去第一层绝对值符号,第二次绝对值符号待合并整理后再用同样方法化去.解∴应选(B).归纳点评只要知道绝对值将合内的代数式是正是负或是零,就能根据绝对值意义顺利去掉绝对值符号,这是解答这类问题的常规思路.二、借助数轴例2实数a、b、c在数轴上的位置如图所示,则代数式的值等于().(A)(B)(C)(D)思路分析由数轴上容易看出,这就为去掉绝对值符号扫清了障碍.解原式∴应选(C).学习必备欢迎下载归纳点评这类题型是把已知条件标在数轴上,借助数轴提供的信息让人去观察,一定弄清:1.零点的左边都是负数,右边都是正数.2.右边点表示的数总大于左边点表示的数.3.离原点远的点的绝对值较大,牢记这几个要点就能从容自如地解决问题了.三、采用零点分段讨论法例3化简思路分析本类型的题既没有条件限制,又没有数轴信息,要对各种情况分类讨论,可采用零点分段讨论法,本例的难点在于的正负不能确定,由于x是不断变化的,所以它们为正、为负、为零都有可能,应当对各种情况—一讨论.解令得零点:;令得零点:,把数轴上的数分为三个部分(如图)①当时,∴原式②当时,,∴原式③当时,,学习必备欢迎下载∴原式∴归纳点评虽然的正负不能确定,但在某个具体的区段内都是确定的,这正是零点分段讨论法的优点,采用此法的一般步骤是:1.求零点:分别令各绝对值符号内的代数式为零,求出零点(不一定是两个).2.分段:根据第一步求出的零点,将数轴上的点划分为若干个区段,使在各区段内每个绝对值符号内的部分的正负能够确定.3.在各区段内分别考察问题.4.将各区段内的情形综合起来,得到问题的答案.误区点拨千万不要想当然地把等都当成正数或无根据地增加一些附加条件,以免得出错误的结果.练习:请用文本例1介绍的方法解答l、2题1.已知a、b、c、d满足且,那么2.若,则有()。(A)(B)(C)(D)请用本文例2介绍的方法解答3、4题3.有理数a、b、c在数轴上的位置如图所示,则式子化简结果为().学习必备欢迎下载(A)(B)(C)(D)4.有理数a、b在数轴上的对应点如图所示,那么下列四个式子,中负数的个数是().(A)0(B)1(C)2(D)3请用本文例3介绍的方法解答5、6题5.化简6.设x是实数,下列四个结论中正确的是()。(A)y没有最小值(B)有有限多个x使y取到最小值(C)只有一个x使y取得最小值(D)有无穷多个x使y取得最小值

1、当您付费下载文档后,您只拥有了使用权限,并不意味着购买了版权,文档只能用于自身使用,不得用于其他商业用途(如 [转卖]进行直接盈利或[编辑后售卖]进行间接盈利)。
2、本站所有内容均由合作方或网友上传,本站不对文档的完整性、权威性及其观点立场正确性做任何保证或承诺!文档内容仅供研究参考,付费前请自行鉴别。
3、如文档内容存在违规,或者侵犯商业秘密、侵犯著作权等,请点击“违规举报”。

碎片内容

七年级数数学绝对值化简专题训练试题

您可能关注的文档

确认删除?
VIP
微信客服
  • 扫码咨询
会员Q群
  • 会员专属群点击这里加入QQ群
客服邮箱
回到顶部