电脑桌面
添加小米粒文库到电脑桌面
安装后可以在桌面快捷访问

七年级整式乘除法练习题VIP免费

七年级整式乘除法练习题_第1页
1/2
七年级整式乘除法练习题_第2页
2/2
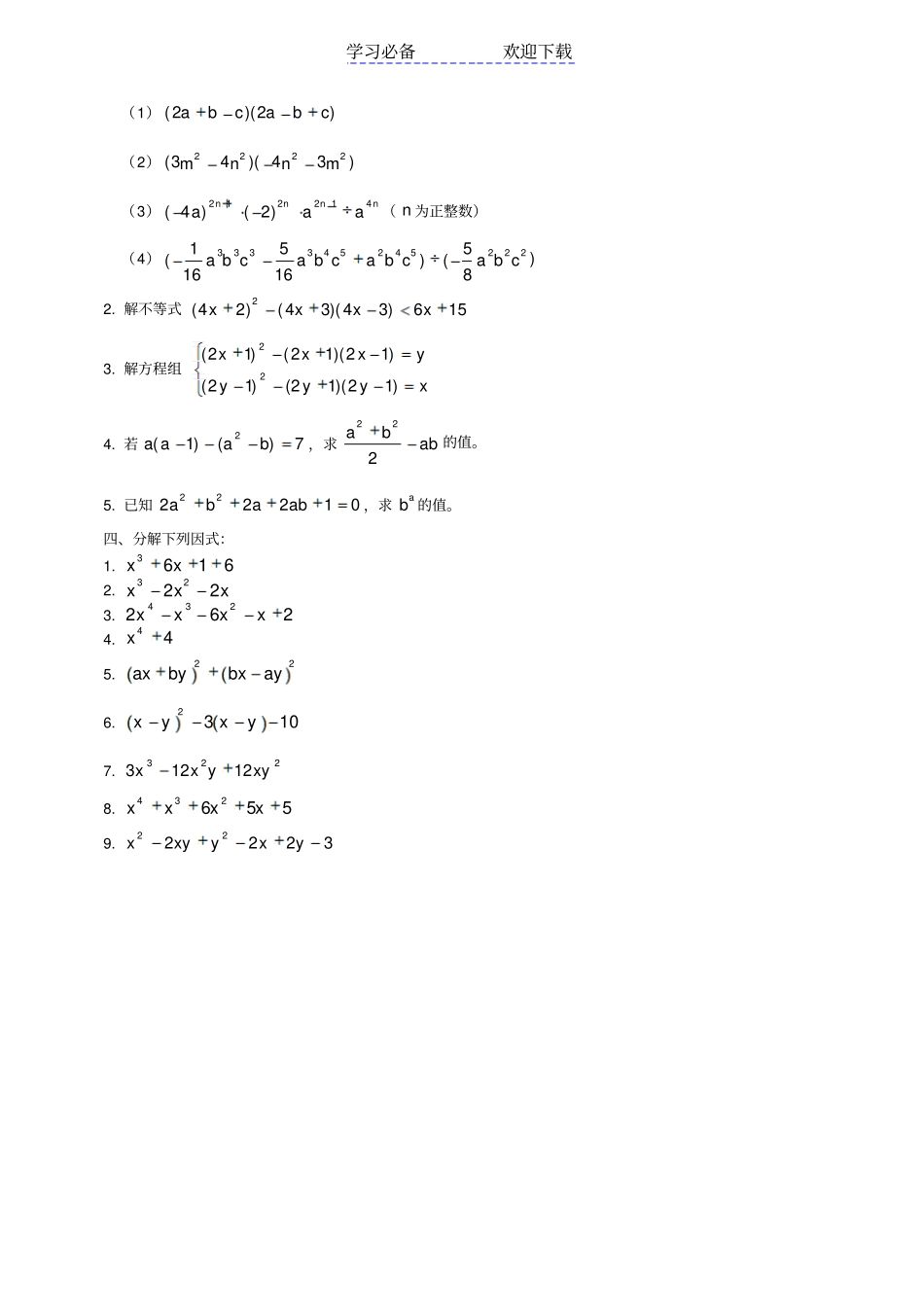
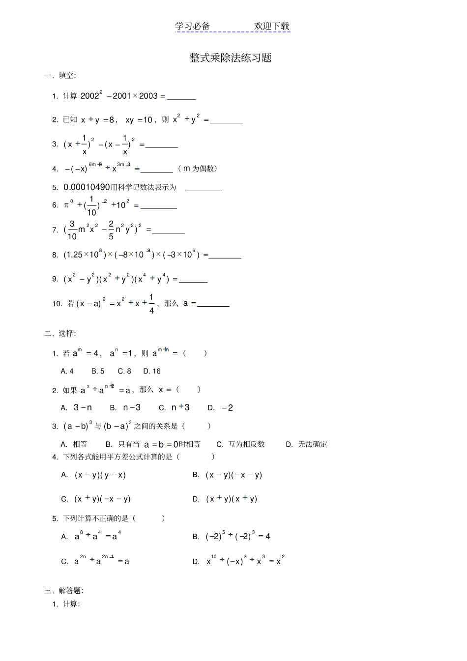
学习必备欢迎下载整式乘除法练习题一.填空:1.计算20032001200222.已知8yx,10xy,则22yx3.22)1()1(xxxx4.3336)(mmxx(m为偶数)5.00010490.0用科学记数法表示为6.22010)101(7.22222)52103(ynxm8.)103()108()1025.1(6989.))()((442222yxyxyx10.若41)(22xxax,那么a二.选择:1.若4ma,1na,则nma()A.4B.5C.8D.162.如果aaanx2,那么x()A.n3B.3nC.3nD.23.3)(ba与3)(ab之间的关系是()A.相等B.只有当0ba时相等C.互为相反数D.无法确定4.下列各式能用平方差公式计算的是()A.))((xyyxB.))((yxyxC.))((yxyxD.))((yxyx5.下列计算不正确的是()A.448aaaB.4)2()2(35C.aaann122D.23210)(xxxx三.解答题:1.计算:学习必备欢迎下载(1))2)(2(cbacba(2))34)(43(2222mnnm(3)nnnnaaa412212)2()4((n为正整数)(4))85()165161(222542543333cbacbacbacba2.解不等式156)34)(34()24(2xxxx3.解方程组xyyyyxxx)12)(12()12()12)(12()12(224.若7)()1(2baaa,求abba222的值。5.已知0122222ababa,求ab的值。四、分解下列因式:1.xx36162.xxx32223.262432xxxx4.x445.axbybxay226.xyxy23107.31212322xxyxy8.xxxx4326559.xxyyxy222223

1、当您付费下载文档后,您只拥有了使用权限,并不意味着购买了版权,文档只能用于自身使用,不得用于其他商业用途(如 [转卖]进行直接盈利或[编辑后售卖]进行间接盈利)。
2、本站所有内容均由合作方或网友上传,本站不对文档的完整性、权威性及其观点立场正确性做任何保证或承诺!文档内容仅供研究参考,付费前请自行鉴别。
3、如文档内容存在违规,或者侵犯商业秘密、侵犯著作权等,请点击“违规举报”。

碎片内容

七年级整式乘除法练习题

文库响当当+ 关注
实名认证
内容提供者

该用户很懒,什么也没介绍

确认删除?
VIP
微信客服
  • 扫码咨询
会员Q群
  • 会员专属群点击这里加入QQ群
客服邮箱
回到顶部