电脑桌面
添加小米粒文库到电脑桌面
安装后可以在桌面快捷访问

羧酸衍生物习题VIP免费

羧酸衍生物习题_第1页
1/7
羧酸衍生物习题_第2页
2/7
羧酸衍生物习题_第3页
3/7
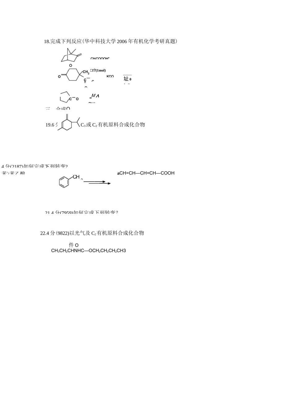
OOIIIICH3CCH2COC2H第十四章羧酸衍生物练习题OHOIIICH3C=CHCOC2H5与325是什么异构体?一、选择题1.2分(0179)2.3.4.(A)碳干异构(B)位置异构(C)官能团异构(D)互变异构2分(0846)(A)酸2分(4033)有强大爆炸力的三硝基甘油属于下列哪类物质:(B)碱(C)脂(D)酯用⑴CH3CH2MgBr(2)也0处理乙酰乙酸乙酯得到的是:(A)CH3COCH(C2H5)COOEt(C)CH3CH2C(OH)(CH3)CH2COOEt(B)CH3COCH(C2H5)C(OH)(C2H5)2(D)CH3COCH2COOEt2分(0284)尼龙-66是一种聚酰胺,其单体为:(A)己内酰胺(B)己二酸己二胺盐(c)己二酸+尿素(D)丁二酰亚胺5.2分(4101)下列试剂分别同“三乙”作用,哪个作用后,只回收到乙酰乙酸乙酯?(A)Br2(C)①C2H5ONa②CH£H2Br(B)NH2OH(D)①RMgX②电0+6.7.8.、填空题分(5740)写出下列反应的主要有机产物或所需之原料、试剂(有立体化学请注明)/OOEtCH2+2HOCH2CH2C^—2NaOE^?COOEt分(5729)写出下列反应的主要有机产物或所需之原料、试剂(有立体化学请注明)OCOOH电叫?分(5019)写出下列反应的主要有机产物,如有立体化学问题也应注明CH2(COOC2H5)2**?2⑵BrCH2CH2CH2CH2CH2Br'⑶H3+O,,_CO329.2111.4分(8254)给出反应的主要产物:12.(571写出下列反应的主要产物或所需之试剂(如有立体化学问题请注OO(CH3C)2O+HCOH^?CH3OH13.(146O化合物ClCCl的俗名称是:14.(575写出下列反应的主要有机产物或所需之原料、试剂(有立体化学请注HNO/HSO1(512写出下列反应的主要有机产物,如有立体化学问题,也应注明。16.2分(7866)写出下列反应所需原料:PhCO+(2)_^c(分(5694)写出下列反应的主要有机产物或所需之原料、试剂(有立体化学请注明)2分(5733)写出下列反应的主要有机产物或所需之原料、试剂(有立体化学请注明)EtO2CCH2呼”巧--^2。2CH3CH2CH2CH2Li+CH3CO2H⑴C2H5OH・?(2)H3O+HlCN/C=C\PhCO2Et17.完成下列反应(南开大学2009年有机化学考研真题)(CH3CO)2O+H2NCH2CH2OH1mo1HClOCOCl—OCOOH*H+COOPhCO3HAHOOH3C—C_CH2CH3+CI?(1mol)址0AcOKCO-M^PhH三、合成19.6分(9735)以C3或C2有机原料合成化合物24分(2187)如何完成下列转变?苯>苯乙酸21.4分(7959)如何完成下列转变?aCH=CH—CH=CH—COOH18.完成下列反应(华中科技大学2006年有机化学考研真题)22.4分(9822)以光气及C2有机原料合成化合物件OCH3CH2CHNHC—OCH2CH2CH2CH3CHjCOOOH”COO3(1)(2)23.4分(6053)如何实现以下转变?C6H5CH2CO2EtC6H5CH(CO2Et)224.4分(2125)如何实现下列转变?异丁醛1(CH3)2CHCOC(CH3)2COOH25.4分(9817)如何完成下列转变?CH3CHQH‘.CH3(CH2)5COOH26.合成题(南开大学2009年有机化学考研真题)四、推结构题27.6分(3047)有两个二元酸A、B,分子式均为C5H6O4,A是不饱和酸,容易脱羧为化合物CC4H6O2OA,C都无几何异构体。B是饱和酸,不易脱羧也无光学异构体,但它的几何异构体D,有光学异构体E。试写出A,B,C,D,E的结构式。CH2(COOC2H5)2(3)CH2(COOC2H5)2CH3ACd2、,-3-BP』*。)F(C4H6O)28.6分(7109)分子式为C3H6O2的A、B、C三个化合物,A与碳酸钠作用放出CO2,B和C不能。用氢氧化钠溶液加热水解,B的水解馏出液可发生碘仿反应,C的水解馏出液不能。试推出A,B,C可能的结构。29.化合物分子式为C10H13NO2,1HNMR及IR谱数据如下,试写出其分子结构(8分南开大学2008年考研真题综合化学有机部分)1HNMR(6):8.O(1H,s),7.4(2H,d),6.8(2H,d)),4.0(2H,q)),2.2(3H,s)),1.4(3H,t)IR(cm-1):3286,2926,1660,1600,1550,1500,1475,1380,122030.根据下列反应式和波谱数据分析化合物A,B,C,D,E的结构(10分南开大学2007年考研真题综合化学有机部分)C(C4H8)~A~2NaCN"B(C6H8N2)叮0*DAc2°XE(C6H8O3)合物C不使KMnO4溶液褪色。化合物E的IR在1820,1755cm-1有强吸收峰;旧NMR(6):1.0(3H,d),2.0(H,m),2.6(4H,d)31.化合物A室温下可KMnO4水溶液褪色,当A经如下反应可得到四氢咲喃。写出A、B、C、D、E、F的结构(12分南开大学2006年考研真题综合化学有机部分)32.化合物X(C8H10O3)经稀酸水解得到乙二醇和Y(C6H602)。Y的IR在1690cm-1有强8103662吸收峰,Y的1HNMR:2.9(单,4H),6.7(单,2H)。当Y在乙醇中长时间放置可转化为2AD(C4H7BrO)E(C4H6O)C(C4H8Br2O)O对苯二酚。写出X、Y的结构(8分南开大学2006年考研真题综合化学有机部分)五、机理题33.4分(9886)试为下述反应建议合理的、可能的、分步的反应机理CH〔NH2CH3NHCHOCH厂卜卜OHCOOH_CHO6占34.4分(2538)预料下述反应的主要产物,并提出合理的、分步的反应机理。CHCOO-Na++CHCHCl365235.8分(2546)预料下述反应的主要产物,并提出合理的、分步的反应机理。COOC2HC2H5ON%

1、当您付费下载文档后,您只拥有了使用权限,并不意味着购买了版权,文档只能用于自身使用,不得用于其他商业用途(如 [转卖]进行直接盈利或[编辑后售卖]进行间接盈利)。
2、本站所有内容均由合作方或网友上传,本站不对文档的完整性、权威性及其观点立场正确性做任何保证或承诺!文档内容仅供研究参考,付费前请自行鉴别。
3、如文档内容存在违规,或者侵犯商业秘密、侵犯著作权等,请点击“违规举报”。

碎片内容

羧酸衍生物习题

您可能关注的文档

确认删除?
VIP
微信客服
  • 扫码咨询
会员Q群
  • 会员专属群点击这里加入QQ群
客服邮箱
回到顶部