电脑桌面
添加小米粒文库到电脑桌面
安装后可以在桌面快捷访问

第三章-表示力学量的算符-习题答案VIP免费

第三章-表示力学量的算符-习题答案_第1页
1/22
第三章-表示力学量的算符-习题答案_第2页
2/22
第三章-表示力学量的算符-习题答案_第3页
3/22
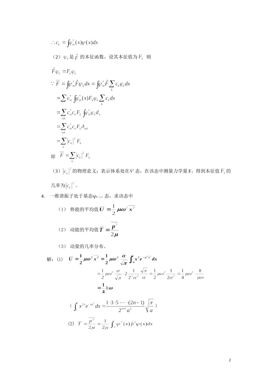
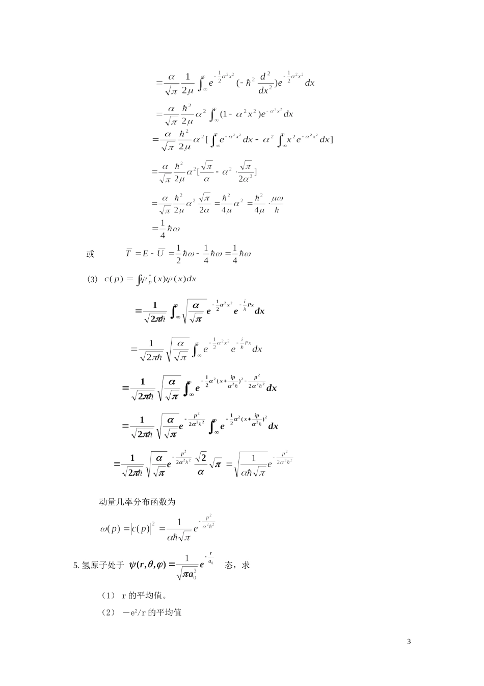
第三章量子力学中的力学量1.证明厄米算符的平均值都是实数(在任意态)[证]由厄米算符的定义厄米算符的平均值即厄米算符的平均值都是实数2.判断下列等式是否正确(1)(2)(3)[解]:(1)(2)正确(3)错误因为动能,势能不同时确定,而它们的平均值却是同时确定。3.设归一化,是的本征函数,且(1)试推导表示式(2)求征力学量F的态平均值(3)说明的物理意义。[解]:(1)给左乘再对积分因是的本函,所以具有正交归一性1(2)是的本征函数,设其本征值为则即(3)的物理意义;表示体系处在态,在该态中测量力学量F,得到本征值的几率为。4.一维谐振子处于基态0(x)态,求该态中(1)势能的平均值(2)动能的平均值(3)动量的几率分布。解:(1)()(2)2或(3)动量几率分布函数为5.氢原子处于态,求(1)r的平均值。(2)-e2/r的平均值3(3)最可几半径.(4)动能平均值.解:(1)()(3)电子出现在r+dr球壳内出现的几率为令当为几率最小位置4∴是最可几半径。(4)6.证明氢原子中电子运动所产生的电流密度在极坐标系中的分量为,证:电子的电流密度为在球极坐标中为式中为单位矢量5中的和部分是实数。∴可见,7.由上题知,氢原子中电流可看作许多圆周电流组成(1)求一圆周电流的磁矩(2)求证氢原子磁矩为解:(1)一圆周电流的磁矩为(为圆周电流,为圆周所围面积)(2)氢原子的磁矩为原子磁矩与角动量之比为8.求一维无限势阱中粒子动量与位置的测不准关系[解]设宽为a的一维无限势阱的波函数为679.证明氢原子中电子与是守恒量[证明]氢原子的哈密顿算符因与是相互对易的且与也是对易的。8,,与t无在,只与有关。又与也是对易的,且氢原子中电子和是守恒量。(判断守恒量的条件:与t无关,且与哈密顿算符对易)10.设线性谐振子处于描述状态,则在该态中,能量可能取哪些值?几率各是多少?能量的平均值是多少?[解]线性谐振子能级,而是振子的两个本征态。所以能量可能取因所以未归一化的波函数,则几率求法应为对应几率对应几率平均值(即第11题)方法I9由平均值公式方法Ⅱ(未归一化)由正交归一性可得12.设粒子处于态,求该态中平均值。[解]是的本征函数10同理13.一刚性转子的转动惯量为I,它的能量经典表达式是H=L2/2I,这儿L为角动量,求与此对应的量子体系在下列条件下的定态波函数和定态能量。(1)转子绕一固定轴转动。(2)转子绕一点转动。解:(1)设该固定轴沿Z轴方向,则有哈米顿算符其本征方程为(无关,属定态问题)令,则11取其解为(可正可负可为零)由波函数的单值性,应有即∴m=0,±1,±2,…转子的定态能量为(m=0,±1,±2,…)可见能量只能取一系列分立值,构成分立谱。定态波函数为A为归一化常数,由归一化条件∴转子的归一化波函数为综上所述,除m=0外,能级是二重简并的。(2)取固定点为坐标原点,则转子的哈米顿算符为无关,属定态问题,其本征方程为(式中设为的本征函数,为其本征值)令,则有),(),(ˆ22YYL此即为角动量的本征方程,其本征值为其波函数为球谐函数∴转子的定态能量为12可见,能量是分立的,且是重简并的。14.若都是厄米算符,,问(1)是否是厄米算符(2)是否是厄米算符不是厄米算符其中为两任意函数(2)同样为两任意函数是厄米算符判断是否是厄米算符可用厄米算符定义13来判断15.设,证明是厄米算符,其中均是厄米算符。[证明]是厄米算符。16.t=0时,粒子处于态求此时粒子平均能量和平均动能。解:可见,动量的可能值为动能的可能值为对应的几率应为上述的A为归一化常数,可由归一化条件,得∴∴动量的平均值为1417.证明若两算符对易,则两算符有组成完全系的共同本征函数[证明]设为两任意算符,且[]=0设的本函为,本征值为,只需证也是的本征函数即可。因=给上式右乘====是算符本征值为的本征函数,由F是非简并的分立谱与应是同一状态,它们之间互多差一常数。即=(是任意常数)也是的本征函数[]=0有共同的本征函数。逆命题:若两算符有组成完全系的共同本函,则这两算符对易。证:设的共同本函为……,本征值为……=设为任一量子态,则[]=-=-=-15=-=0[]=0()18.下列算符哪些是厄米算符[解]:,是厄米算符不是厄米算符是厄米...

1、当您付费下载文档后,您只拥有了使用权限,并不意味着购买了版权,文档只能用于自身使用,不得用于其他商业用途(如 [转卖]进行直接盈利或[编辑后售卖]进行间接盈利)。
2、本站所有内容均由合作方或网友上传,本站不对文档的完整性、权威性及其观点立场正确性做任何保证或承诺!文档内容仅供研究参考,付费前请自行鉴别。
3、如文档内容存在违规,或者侵犯商业秘密、侵犯著作权等,请点击“违规举报”。

碎片内容

第三章-表示力学量的算符-习题答案

您可能关注的文档

确认删除?
VIP
微信客服
  • 扫码咨询
会员Q群
  • 会员专属群点击这里加入QQ群
客服邮箱
回到顶部