电脑桌面
添加小米粒文库到电脑桌面
安装后可以在桌面快捷访问

保险精算练习题VIP免费

保险精算练习题_第1页
1/7
保险精算练习题_第2页
2/7
保险精算练习题_第3页
3/7
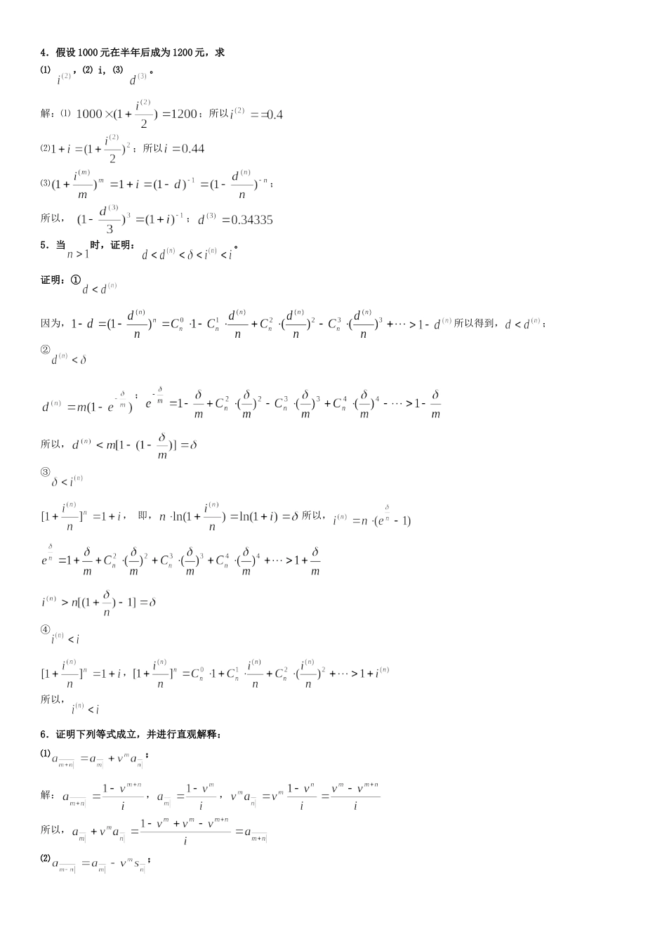
4.假设1000元在半年后成为1200元,求⑴,⑵i,⑶。解:⑴;所以⑵;所以⑶;所以,;5.当时,证明:。证明:①因为,所以得到,;②;所以,③,即,所以,④,所以,6.证明下列等式成立,并进行直观解释:⑴;解:,,所以,⑵;解:,,所以,⑶;解:,所以,⑷。解:(同上题)略。7.某人今年30岁,其计划每年初存300元,共存30年建立个人存款能从60岁退休开始每年年末得到固定金额,共能领取20年。假设存款利率在前十年为6%,后20年为12%,求每年能取的养老金额。解:所以60岁时存款有(元)由此知,,可得X=7774.12(元)8.某单位在20年内每年存入银行5000元建立职工奖励基金。从存入最后一笔款后的第2年起,每年提取固定金额奖励一名有突出贡献的职工,这种奖励形式将永远持续下去。假设存款的利率为8%,求每次能够提取的最大金额。解:。所以(元)10.假设每年第一年收付200元,以后每隔一年增加收付100元,增加到一次收付1000元时不在增加,并一直保持每年1000元的水平连续收付。假设年利率为12%,求这一年金的现值。解:1.依据生命表的基础填充下表:010001000.90.11(900)(150)(5/6)(1/6)2750(150)0.8(0.2)3(600)(300)(0.5)(0.5)4300(180)(0.4)0.65(120)(120)(0)(1)603.已知,计算:⑴,,,,;⑵25岁的人至少再活20,最多活25年的概率;⑶三个25岁的人均存活到80岁的概率。解:⑴;;⑵⑶4.若,,求:⑴c的值;⑵生命表中的最大年龄;⑶从出生存活到50岁的概率;⑷15岁的人在40~50岁之间死亡的概率。解:⑴。所以,c=90⑵,所以,⑶⑷。5.证明并作直观解释:⑴;证明:⑵;证明:⑶。证明:6.证明:⑴;⑵;⑶;⑷。证明:⑴⑵;⑶⑷。8.若,,计算:⑴死亡均匀分布假设;⑵鲍德希假设;⑶假设解:⑴;⑵⑶。9.证明在鲍德希规律下,与n无关。证明:所以,与n无关。1某人10岁买了定期生存保险,这一保险使其从18岁到25岁每年得到2000元生存保险金,以附表2转换函数值计算这一年金现值。解:(元)2.证明下列等式成立,并解释其含义。⑴;证明:⑵;证明:所以,⑶;证明:⑷;证明:⑸;证明:⑹证明:3.某人在50岁时以50000元的趸缴净保费购买了每月给付k元的生存年金。假设购买后次月开始给付,求k值。解:4.给付50岁的人每月200元,第一次从60岁开始,共付10年的生存年金转换函数表达式。解:7.以转换函数表达下面变动年金的现值。对(x)第一年末给付1000元,以后每年比上年增加给付500元,,当年给付金额达到5000元时,又以每年1000元的幅度递减,直到1000元后保持不变,直到被保险人死亡为止。解:8.假设对所有x,有,证明以利率i和为基础计算的终身年金现值与以和为基础计算的终身年金现值相等。解:以为计算基础以、计算1.假设,求50岁的人投保100000元终身寿险的精算现值。解:2.某保单规定,若被保险人在投保后20年内死亡,则在第20年末给付1单位保险金,若被保险人在投保20年以后死亡,则在死亡年年末给付1单位保险金。写出对(x)的保单精算现值的表达式。解:3.某人在30岁时投保了10000元延期25年的定期寿险,求这一保单的精算现值。解:所以,4.证明:,并说明其意义。证明:即(X)寿险精算现值等于在第一年内死亡赔付,在一年后死亡赔付的精算现值之和。5.证明:,并说明其意义。证明:6.假设死亡概率变成为(为常数),其他年龄的死亡率不变,试证明将增加。解:增加值:7.假设,,求利率i的值。解:8.假设某人从30岁开始投保终身寿险,若在投保第一年死亡,则给付1000元,以后每多活一年后死亡,给付额增加3000元,达到16000元时,又以每多活一年给付额减少4000元递减,当给付额降为4000元时保持不变。以转换函数的形式写出这一保单的精算现值表达式。解:

1、当您付费下载文档后,您只拥有了使用权限,并不意味着购买了版权,文档只能用于自身使用,不得用于其他商业用途(如 [转卖]进行直接盈利或[编辑后售卖]进行间接盈利)。
2、本站所有内容均由合作方或网友上传,本站不对文档的完整性、权威性及其观点立场正确性做任何保证或承诺!文档内容仅供研究参考,付费前请自行鉴别。
3、如文档内容存在违规,或者侵犯商业秘密、侵犯著作权等,请点击“违规举报”。

碎片内容

保险精算练习题

确认删除?
VIP
微信客服
  • 扫码咨询
会员Q群
  • 会员专属群点击这里加入QQ群
客服邮箱
回到顶部