电脑桌面
添加小米粒文库到电脑桌面
安装后可以在桌面快捷访问

【原创】《博雅高考》2015届高三数学三轮高频考点新题演练:平面向量的概念及几何运算(含解析)(1)VIP免费

【原创】《博雅高考》2015届高三数学三轮高频考点新题演练:平面向量的概念及几何运算(含解析)(1)_第1页
1/8
【原创】《博雅高考》2015届高三数学三轮高频考点新题演练:平面向量的概念及几何运算(含解析)(1)_第2页
2/8
【原创】《博雅高考》2015届高三数学三轮高频考点新题演练:平面向量的概念及几何运算(含解析)(1)_第3页
3/8
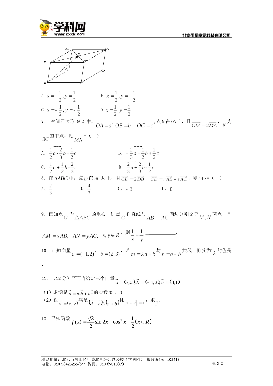
第1页【原创】《博雅高考》2015届高三数学三轮高频考点新题演练:平面向量的概念及几何运算(含解析)1.【原创题】设为两个垂直的单位向量,若满足,则的最大值为()A.B.2C.D.12.在边长为的等边中,分别在边BC与AC上,且,则()A.B.C.D.3.如下图,在△OAB中,P为线段AB上的一点,OP�=xOA�+yOB�,且BP�=3PA�,则().A、x=23,y=13B、x=13,y=23C、x=14,y=34D、x=34,y=144.若是的重心,,,分别是角的对边,若,则角()A.B.C.D.5.已知平面向量,满足,,,则()A.B.C.D.6.如图所示,在平行六面体中,点为上底面对角线的中点,若,则()联系地址:北京市房山区星城北里综合办公楼(学科网)邮政编码:102413电话:010-58425255/6/7传真:010-89313898第2页A1B1C1D1ABCDE●ABCD7.空间四边形OABC中,,,,点M在OA上,且,为的中点,则=()A.B.C.D.8.在ABC中,点在边上,且,,则=()A.B.C.D.09.已知点为的重心,过点作直线与,两边分别交于两点,且,则.10.已知向量,,若与共线,则实数的值是.11.(12分)平面内给定三个向量(1)求满足的实数、;(2)设满足且,求.12.已知函数231()sin2cos22fxxxxR联系地址:北京市房山区星城北里综合办公楼(学科网)邮政编码:102413电话:010-58425255/6/7传真:010-89313898第3页(1)当5,1212x时,求函数fx取得最大值和最小值;(2)设锐角ABC的内角A、B、C的对应边分别是,,abc,且1,*acN,若向量1,sinmA�与向量2,sinnB平行,求c的值.13.已知12,FF分别为椭圆的上、下焦点,1F是抛物线22:4Cxy的焦点,点M是1C与2C在第二象限的交点,且15||.3MF(1)求椭圆1C的方程;(2)与圆22(1)1xy相切的直线:(),0lykxtkt交椭1C于,AB,若椭圆1C上一点P满足OAOBOP�,求实数的取值范围.联系地址:北京市房山区星城北里综合办公楼(学科网)邮政编码:102413电话:010-58425255/6/7传真:010-89313898F1OxMF2yBXXXA第4页参考答案1.A【解析】以所在的方向分别为轴,建立坐标系,则,设,,故对应的轨迹为圆,的最大值为为圆上点到原点的最大值,故||的最大值为,故选A.2.A【解析】由已知分别在边BC与AC上,且,则是的中轴点,为的三等分点,以为坐标原点,所在直线为轴,边所在直线为轴,建立平面直角坐标系,,,,设,由可得:,解得:,则,,3.D【解析】由已知BP�=3PA�,得,整理,,可得x=34,y=144.D【解析】由于是的重心,,,代入得,整理得,,因此,故答案为D.5.B【解析】根据题意结合向量的运算可得:.故选B.6.A联系地址:北京市房山区星城北里综合办公楼(学科网)邮政编码:102413电话:010-58425255/6/7传真:010-89313898第5页【解析】由题意可知,,故,答案为A.7.B【解析】因为为的中点,则,,选8.D【解析】由题设,又ACsABrCD,所以,故选D.9.【解析】根据题意画出图像,因为为的重心,所以,因为:三点共线,所以,所以,所以答案为:.10.【解析】,,又共线,则,即:;11.(1),(2)或【解析】(1)向量的坐标运算主要是利用加、减、数乘运算法则进行的,若已知有向线段两端点的坐标,则应先求出向量的坐标,解题过程中要注意方程的思想应用级运算法则的正确使用;(2)的充要条件有两种表达方式:①,(2)设,,则,两种充要条件的表达形式不同,第一种是用线性关系形式表示的,而且有前提条件,而第二种无限制.联系地址:北京市房山区星城北里综合办公楼(学科网)邮政编码:102413电话:010-58425255/6/7传真:010-89313898第6页解:(1)由题意得,所以,解得(2) ,,又且,∴解得或∴或12.(1)时,取得最大值0;时,取得最小值.(2).【解析】(1)将解析式降次、化一得,由于,,将看作一个整体结合正弦函数的图象可得.由得取得最大值0;由得取得最小值.(2)因为向量与向量平行,所以即,又.由余弦定理得,这样根据角C的范围便得边的范围;再据题设,即可得的值.(1)3分联系地址:北京市房山区星城北里综合办公楼(学科网)邮政编码:102413电话:010-5842525...

1、当您付费下载文档后,您只拥有了使用权限,并不意味着购买了版权,文档只能用于自身使用,不得用于其他商业用途(如 [转卖]进行直接盈利或[编辑后售卖]进行间接盈利)。
2、本站所有内容均由合作方或网友上传,本站不对文档的完整性、权威性及其观点立场正确性做任何保证或承诺!文档内容仅供研究参考,付费前请自行鉴别。
3、如文档内容存在违规,或者侵犯商业秘密、侵犯著作权等,请点击“违规举报”。

碎片内容

【原创】《博雅高考》2015届高三数学三轮高频考点新题演练:平面向量的概念及几何运算(含解析)(1)

精品文库+ 关注
实名认证
内容提供者

小学学习各类资料大全

相关文档

确认删除?
VIP
微信客服
  • 扫码咨询
会员Q群
  • 会员专属群点击这里加入QQ群
客服邮箱
回到顶部