电脑桌面
添加小米粒文库到电脑桌面
安装后可以在桌面快捷访问

平面向量的线性运算数乘运算VIP专享VIP免费

平面向量的线性运算数乘运算_第1页
1/3
平面向量的线性运算数乘运算_第2页
2/3
平面向量的线性运算数乘运算_第3页
3/3
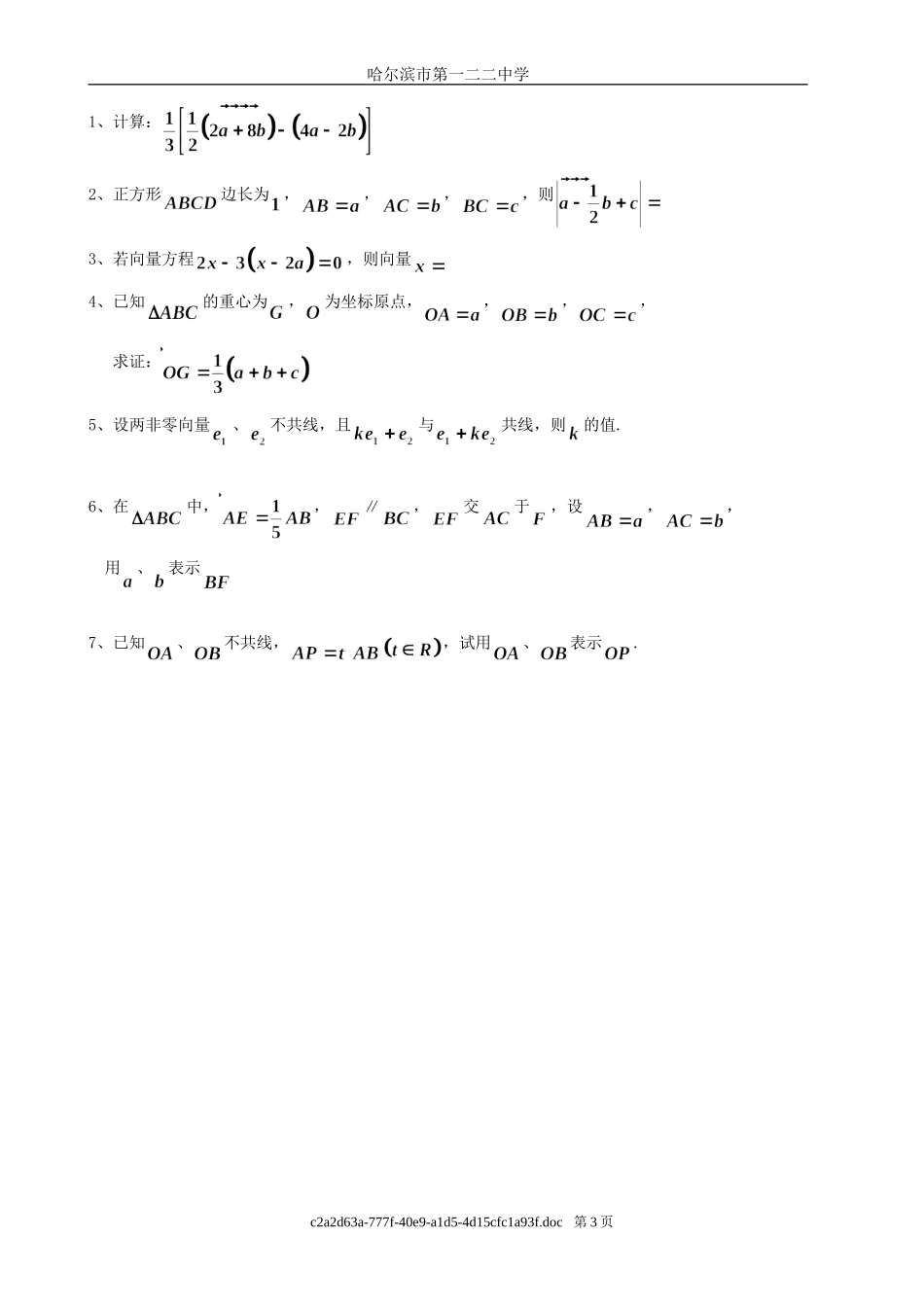
哈尔滨市第一二二中学授课日期授课班级课题向量的数乘课型新授课三维目标知识与技能掌握向量数乘概念,掌握实数与向量积的定义,理解实数与向量积的几何意义,掌握实数与向量积的运算律.过程与方法通过探究,体会类比迁移的思想方法,渗透研究新问题的思想和方法.情感、态度与价值观培养学生数学应用意识,体会数学在生活中的作用,培养学生类比、迁移、分类、归纳等能力.培养创新能力和积极进取精神.教学重点实数与向量积的意义,实数与向量积的运算律,两个向量共线的等价条件及其运用.教学难点对向量共线的等价条件的理解运用.教学方法讲练结合教具教学过程:一、问题导学数可以进行乘法运算,向量可以乘法运算吗?,向量运算中是否怎样解释?作图验证:二、讨论讲解数乘向量(multiplicationofvectorbyscalar)定义:规定实数与向量的积是一个向量(重点强调),它的长度和方向规定如下:;当时,的方向与的方向相同;当时,的方向与的方向相反;当时,.运算律:;c2a2d63a-777f-40e9-a1d5-4d15cfc1a93f.doc第1页哈尔滨市第一二二中学;.特别地,,思考一、解释运算律的几何意义?▲题型探究例1、计算:;;思考二、引入向量数乘运算后,能发现数乘向量与原向量之间的位置关系吗?与非零向量共线定理:,∥有唯一一个实数,使得.例2、如图,已知两个非零向量、,试作,,,你能判断、、三点位置关系吗?例3、如图,的两条对角线相交于点,且,,你能用、表示、、和吗?例4、四边形的边、的中点分别为、,求证:.▲课堂达标▲能力提升c2a2d63a-777f-40e9-a1d5-4d15cfc1a93f.doc第2页babaMCABDFEDCAB哈尔滨市第一二二中学1、计算:2、正方形边长为,,,,则3、若向量方程,则向量4、已知的重心为,为坐标原点,,,,求证:5、设两非零向量、不共线,且与共线,则的值.6、在中,,∥,交于,设,,用、表示7、已知、不共线,,试用、表示.c2a2d63a-777f-40e9-a1d5-4d15cfc1a93f.doc第3页

1、当您付费下载文档后,您只拥有了使用权限,并不意味着购买了版权,文档只能用于自身使用,不得用于其他商业用途(如 [转卖]进行直接盈利或[编辑后售卖]进行间接盈利)。
2、本站所有内容均由合作方或网友上传,本站不对文档的完整性、权威性及其观点立场正确性做任何保证或承诺!文档内容仅供研究参考,付费前请自行鉴别。
3、如文档内容存在违规,或者侵犯商业秘密、侵犯著作权等,请点击“违规举报”。

碎片内容

平面向量的线性运算数乘运算

精品文库+ 关注
实名认证
内容提供者

小学学习各类资料大全

确认删除?
VIP
微信客服
  • 扫码咨询
会员Q群
  • 会员专属群点击这里加入QQ群
客服邮箱
回到顶部