电脑桌面
添加小米粒文库到电脑桌面
安装后可以在桌面快捷访问

山东省烟台市招远二中 高二数学下学期期末考试试卷 文试卷VIP免费

山东省烟台市招远二中 高二数学下学期期末考试试卷 文试卷_第1页
1/10
山东省烟台市招远二中 高二数学下学期期末考试试卷 文试卷_第2页
2/10
山东省烟台市招远二中 高二数学下学期期末考试试卷 文试卷_第3页
3/10
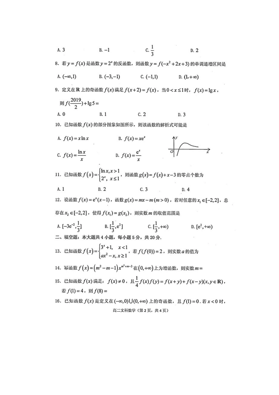
高二文科数学试题参考答案一、选择题1~5:BADDD6~10:DACBC11-12:BD二、填空题13.14.15.16.三、解答题17.解:(1)令,解得.令,解得时.于是,,所以.()因为,所以.当时,时,满足题意.当时,令,解得,当时,,解得.综上所述,的取值范围是.18.解:(1)设,,.于是.解得,.所以.(2)解法一:由已知得在上恒成立.即在上恒成立.令,可得.函数在单调递增,.的取值范围是.解法二:由已知在区间上的最小值恒大于零.因为二次函数开口向上,对称轴为.所以,当,即时,,解得.当,即时,,解集为.当,即时,,解集为综上,实数的取值范围是.19.解:(1)由,得的定义域为,定义域关于原点对称.又,函数为定义域上的奇函数.(2),,即.①当时,.②当时,.综上,当时,不等式的解集为;当时,不等式的解集为.20.解:(1),因为切线方程为,所以切点为,切线斜率为.于是,.解得,.(2)因为曲线与直线有三个不同交点,所以方程有三个不同的实根,即函数有三个不同的零点.易得,令得:,.极大值极小值所以的极大值为,所以的极小值为,于是,解得.21.解:(1)依题意得,当时,;当时,..(2)当时,,时,取得最大值.当时,,,当或时,取得最大值.因为,当公司参加培训的员工人数为或时,培训机构可获得最大利润元.22.(本小题满分12分)解:(1),.当时,,则在上单调递增;当时,令,得.当时,,单调递减;当时,,单调递增.综上,当时,在上单调递增;当时,在单调递减,在单调递增.(2),令,则.一、当时,,由(1)的结论可知函数在上单调递增,.二、当时,,下证.事实上,令,则.当时,,所以在为增函数,且,即当时,恒成立.由(1)的结论,知在单调递减,在单调递增.所以在上的最大值等于.设,则令,易得,因为,且在恒成立,所以在单调递增,所以,即恒成立,所以在在上单调递增,所以在上成立,即.因此,当时,在上的最大值为.综上所述,当时,.

1、当您付费下载文档后,您只拥有了使用权限,并不意味着购买了版权,文档只能用于自身使用,不得用于其他商业用途(如 [转卖]进行直接盈利或[编辑后售卖]进行间接盈利)。
2、本站所有内容均由合作方或网友上传,本站不对文档的完整性、权威性及其观点立场正确性做任何保证或承诺!文档内容仅供研究参考,付费前请自行鉴别。
3、如文档内容存在违规,或者侵犯商业秘密、侵犯著作权等,请点击“违规举报”。

碎片内容

山东省烟台市招远二中 高二数学下学期期末考试试卷 文试卷

您可能关注的文档

确认删除?
VIP
微信客服
  • 扫码咨询
会员Q群
  • 会员专属群点击这里加入QQ群
客服邮箱
回到顶部