电脑桌面
添加小米粒文库到电脑桌面
安装后可以在桌面快捷访问

内蒙古巴彦淖尔市临河三中 高二数学下学期第二次月考试题(音美班) 试题VIP免费

内蒙古巴彦淖尔市临河三中 高二数学下学期第二次月考试题(音美班) 试题_第1页
1/5
内蒙古巴彦淖尔市临河三中 高二数学下学期第二次月考试题(音美班) 试题_第2页
2/5
内蒙古巴彦淖尔市临河三中 高二数学下学期第二次月考试题(音美班) 试题_第3页
3/5
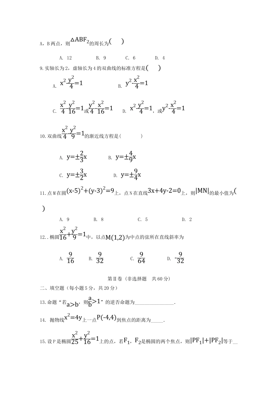
内蒙古巴彦淖尔市临河三中2018-2019学年高二数学下学期第二次月考试题(音美班)第Ⅰ卷(选择题共60分)一、选择题(每小题5分,共60分)1.已知命题p:,命题q:,则下列说法正确的是A.为真,为假B.为假,为假C.为真,为假D.为假,为真2.已知过点和的直线与直线平行,则m的值为A.B.0C.2D.103.设,则“”是“”的A.充分不必要条件B.必要不充分条件C.充要条件D.既不充分也不必要条件4.已知”,则是A.B.C.D.5.直线与圆相交于A、B两点,则弦AB的长等于A.B.C.D.16.已知焦点坐标为、,且过点的椭圆方程为A.B.C.D.7.设、是椭圆的两个焦点,点P为椭圆上的点,且,,则椭圆的短轴长为()A.6B.8C.9D.108.已知椭圆方程为的左、右焦点分别为,,过左焦点的直线交椭圆于A,B两点,则的周长为A.12B.9C.6D.49.实轴长为2,虚轴长为4的双曲线的标准方程是A.B.C.或D.,或10.双曲线的渐近线方程是()A.B.C.D.11.点M在圆上,点N在直线上,则的最小值为A.9B.8C.5D.212..椭圆中,以点为中点的弦所在直线斜率为A.B.C.D.第Ⅱ卷(非选择题共60分)二、填空题(每小题5分,共20分)13.命题“若,则”的逆否命题为________________.14.抛物线上一点到焦点的距离为_____.15.设P是椭圆上的点,若,是椭圆的两个焦点,则等于_____________16.已知抛物线经过点,则其标准方程为________.三、解答题(解答应写出文字说明,证明过程或演算步骤。)17、(本题10分)求双曲线的实轴长、虚轴长、焦距、焦点坐标、顶点坐标、渐近线方程、离心率。18.(本题10分)求适合下列条件的椭圆的标准方程:焦点在y轴上,焦距是4,且经过点;焦距是10,且椭圆上一点到两焦点的距离的和为26.19.(本题10分)根据下列条件,求双曲线的标准方程.与双曲线有公共焦点,且过点,.与双曲线有共同的渐近线,且过点2;20.(本题10分)已知椭圆C的焦点为和,长轴长为6,设直线交椭圆C于A、B两点求:椭圆C的标准方程;弦AB的中点坐标及弦长.高二年级第2次月考考试数学(音美班)答案1-5、CAACB6-10、BAADC11-12、DD13、若,则14、515、1016、或17、解:把已知方程化为标准方程得:,所以,,,,实轴长,虚轴长,焦距焦点坐标是:,.顶点坐标:(-3,0)(3,0)渐近线方程是:离心率18、解:由题意可设椭圆的方程为,联立,解得.椭圆的标准方程是.由题意可得,解得.故所求的椭圆方程为或.19、(1)设双曲线方程为由题意易求.又双曲线过点,可得,又,,故所求双曲线的方程为.(2)设所求双曲线方程为,将点代入得,所以双曲线方程为,即.20、解:椭圆C的焦点为和,长轴长为6,椭圆的焦点在x轴上,,,,椭圆C的标准方程.设,,AB线段的中点为,由,消去y,得,,,,,弦AB的中点坐标为,.

1、当您付费下载文档后,您只拥有了使用权限,并不意味着购买了版权,文档只能用于自身使用,不得用于其他商业用途(如 [转卖]进行直接盈利或[编辑后售卖]进行间接盈利)。
2、本站所有内容均由合作方或网友上传,本站不对文档的完整性、权威性及其观点立场正确性做任何保证或承诺!文档内容仅供研究参考,付费前请自行鉴别。
3、如文档内容存在违规,或者侵犯商业秘密、侵犯著作权等,请点击“违规举报”。

碎片内容

内蒙古巴彦淖尔市临河三中 高二数学下学期第二次月考试题(音美班) 试题

您可能关注的文档

确认删除?
VIP
微信客服
  • 扫码咨询
会员Q群
  • 会员专属群点击这里加入QQ群
客服邮箱
回到顶部