电脑桌面
添加小米粒文库到电脑桌面
安装后可以在桌面快捷访问

安徽省合肥市高三数学4月第二次质量检测试卷 理 答案 安徽省合肥市高三数学4月第二次质量检测试卷 理 安徽省合肥市高三数学4月第二次质量检测试卷 理VIP免费

安徽省合肥市高三数学4月第二次质量检测试卷 理 答案 安徽省合肥市高三数学4月第二次质量检测试卷 理 安徽省合肥市高三数学4月第二次质量检测试卷 理_第1页
1/4
安徽省合肥市高三数学4月第二次质量检测试卷 理 答案 安徽省合肥市高三数学4月第二次质量检测试卷 理 安徽省合肥市高三数学4月第二次质量检测试卷 理_第2页
2/4
安徽省合肥市高三数学4月第二次质量检测试卷 理 答案 安徽省合肥市高三数学4月第二次质量检测试卷 理 安徽省合肥市高三数学4月第二次质量检测试卷 理_第3页
3/4
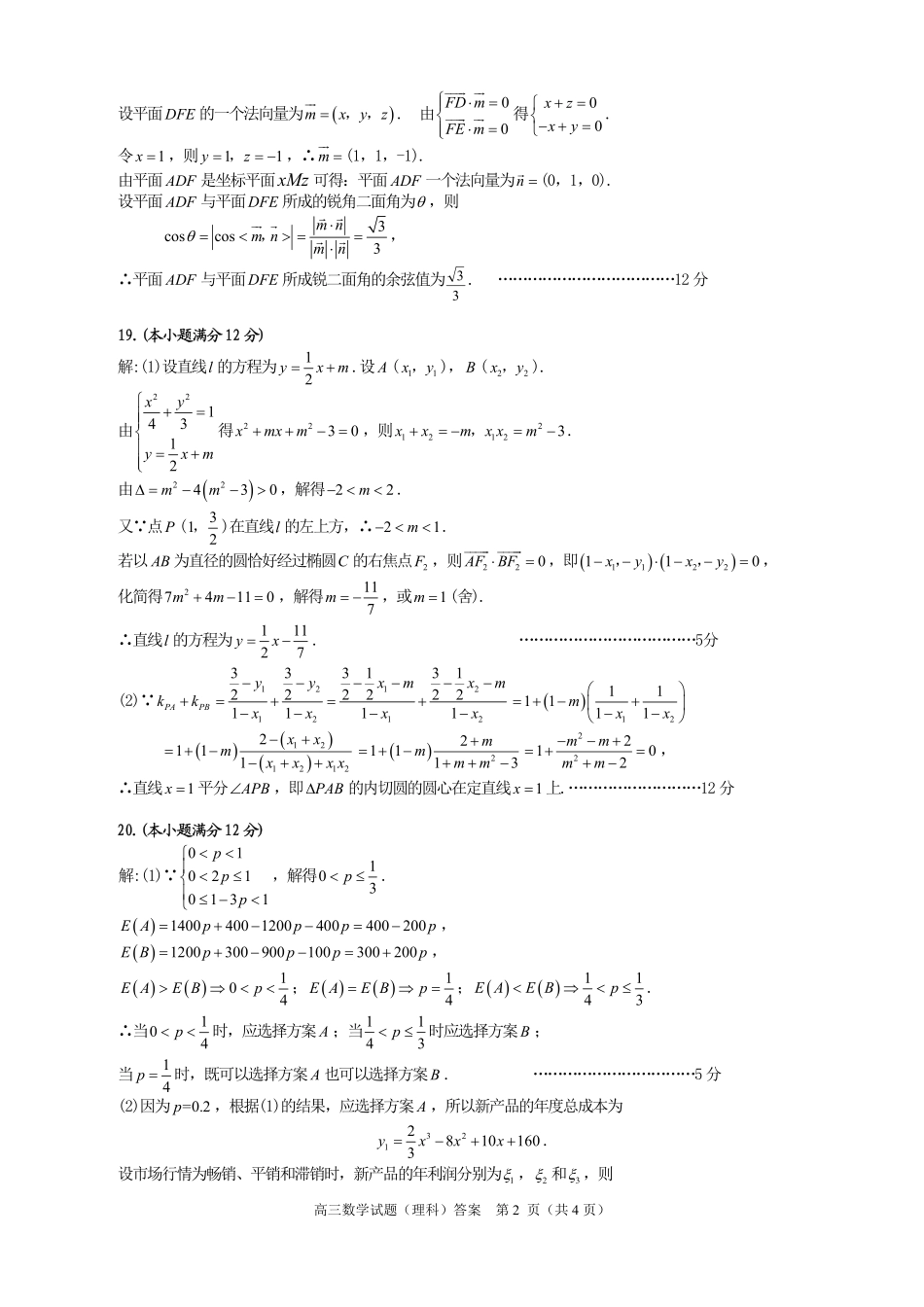
高三数学试题(理科)答案第1页(共4页)合肥市2020年高三第二次教学质量检测数学试题(理科)参考答案及评分标准一、选择题:本大题共12小题,每小题5分,共60分.二、填空题:本大题共4小题,每小题5分,共20分.13.114.3815.2yx16.2,512(第一空2分,第二空3分)三、解答题:本大题共6小题,满分70分.17.(本小题满分12分)解:(1)设na的公差为d,由21a,714S得11172114adad.解得111,22ad,所以2nna. 212212322nnnnnbbbb,∴1212312nnnbbbb(2n),两式相除得2nnb(2n).当1n时,12b适合上式.∴2nnb.………………………………5分(2) cos2cos2nnnnncba,∴23421222132cos2cos2cos2cos22cos2cos222nnnnTn24622462=2cos2cos22cos32cos222(1)2nnnn141444145nn.………………………………12分18.(本小题满分12分)解:(1)//CDAB.理由如下:连结CD,分别取AFBE,的中点MN,,连结DMCNMN,,,由图(1)可得,ADF与BCE都是等腰直角三角形且全等,则DMAF,CNBE,DMCN,如图. 平面ADF平面ABEF,交线为AF,DM平面ADF,DMAF,∴DM平面ABEF.同理得,CN平面ABEF,∴//DMCN.又 DMCN∴四边形CDMN为平行四边形∴//CDMN. MN,分别是AFBE,的中点∴//MNAB∴//CDAB.………………………………5分(2)在AB边上取一点P,使得APDF.由图(1)可得,ADFP为正方形,即APFP. M为AF的中点∴MPMA.由(1)知,MD平面ABEF,∴MAMPMD,,两两垂直.以M点为坐标原点,直线MAMPMD,,分别为坐标轴建立空间直角坐标系xyzM,如图.设2AF,则D(0,0,1),A(1,0,0),P(0,1,0),F(-1,0,0),∴FD(1,0,1),FEAP(-1,1,0).题号123456789101112答案ABBCADABDACD高三数学试题(理科)答案第2页(共4页)设平面DFE的一个法向量为mxyz,,.由00FDmFEm得00xzxy.令1x,则11yz,,∴m(1,1,-1).由平面ADF是坐标平面xMz可得:平面ADF一个法向量为n(0,1,0).设平面ADF与平面DFE所成的锐角二面角为,则3coscos3mnmnmn,,∴平面ADF与平面DFE所成锐二面角的余弦值为33.………………………………12分19.(本小题满分12分)解:(1)设直线l的方程为12yxm.设A(11xy,),B(22xy,).由2214312xyyxm得2230xmxm,则212123xxmxxm,.由22430mm,解得22m.又 点P(312,)在直线l的左上方,∴21m.若以AB为直径的圆恰好经过椭圆C的右焦点2F,则220AFBF,即1122110xyxy,,,化简得274110mm,解得117m,或1m(舍).∴直线l的方程为11127yx.………………………………5分(2) 121212123331312222221111PAPByyxmxmkkxxxx12111111mxx1212122111xxmxxxx221113mmmm222102mmmm,∴直线1x平分APB,即PAB的内切圆的圆心在定直线1x上.………………………12分20.(本小题满分12分)解:(1) 010210131ppp,解得103p.14004001200400400200EApppp,1200300900100300200EBpppp,104EAEBp;14EAEBp;1143EAEBp.∴当104p时,应选择方案A;当1143p时应选择方案B;当14p时,既可以选择方案A也可以选择方案B.……………………………5分(2)因为=0.2p,根据(1)的结果,应选择方案A,所以新产品的年度总成本为32128101603yxxx.设市场行情为畅销、平销和滞销时,新产品的年利润分别为1,2和3,则高三数...

1、当您付费下载文档后,您只拥有了使用权限,并不意味着购买了版权,文档只能用于自身使用,不得用于其他商业用途(如 [转卖]进行直接盈利或[编辑后售卖]进行间接盈利)。
2、本站所有内容均由合作方或网友上传,本站不对文档的完整性、权威性及其观点立场正确性做任何保证或承诺!文档内容仅供研究参考,付费前请自行鉴别。
3、如文档内容存在违规,或者侵犯商业秘密、侵犯著作权等,请点击“违规举报”。

碎片内容

安徽省合肥市高三数学4月第二次质量检测试卷 理 答案 安徽省合肥市高三数学4月第二次质量检测试卷 理 安徽省合肥市高三数学4月第二次质量检测试卷 理

您可能关注的文档

星河书苑+ 关注
实名认证
内容提供者

从事历史教学,热爱教育,高度负责。

确认删除?
VIP
微信客服
  • 扫码咨询
会员Q群
  • 会员专属群点击这里加入QQ群
客服邮箱
回到顶部