电脑桌面
添加小米粒文库到电脑桌面
安装后可以在桌面快捷访问

分数指数幂、分数指数 人教版 试题VIP免费

分数指数幂、分数指数 人教版 试题_第1页
1/5
分数指数幂、分数指数 人教版 试题_第2页
2/5
分数指数幂、分数指数 人教版 试题_第3页
3/5
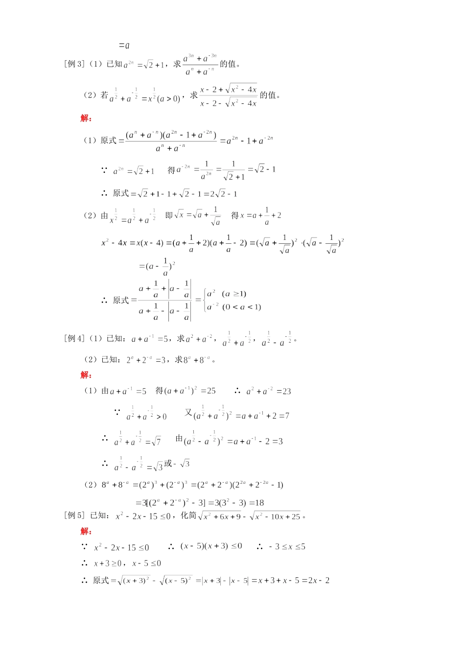
分数指数幂、分数指数【同步教育信息】一.本周教学内容:指数二.本周重、难点:1.重点:分数指数幂的概念和分数指数的运算性质。2.难点:根式的概念和分数指数幂的概念。【典型例题】[例1]求值:(1)(2)解:(1)(2)原式[例2]化简:(1)(2)(3)解:(1)原式(2)原式(3)原式[例3](1)已知,求的值。(2)若,求的值。解:(1)原式∵得∴原式(2)由即得∴原式[例4](1)已知:,求,,。(2)已知:,求。解:(1)由得∴∵又∴由∴或(2)[例5]已知:,化简。解:∵∴∴∴,∴原式[例6]设、为不等于1的正数,且实数、、满足。求证:(1)若,则(2)若,则证:(1)由于结论中指数只与、有关,同时从条件和、、均为非零实数,且两两不相等,解关于的方程得∵∴∴∴两边同乘以,得(2)由,得,再由,得或∴即∴两边同乘得[例7]已知且,求证:证:设则,,∴又∴∴【模拟试题】一.选择题:1.的化简结果是()A.B.C.D.2.已知且则的值为()A.2或B.C.D.23.若,则等于()A.B.C.3D.4.若,那么等式成立的条件是()A.,B.,C.,D.,0二.填空题:1.若,,则。2.,当时,值为。3.,,那么。4.已知,且,,则等于。三.解答题:1.化简:(1)(2)2.已知,求下列各式的值。(1)(2)(3)3.求证:,这里,、、。[参考答案]一.1.C2.D3.C4.C二.1.2.3.4.三.1.(1)原式(2)原式2.解:(1)(2)(3)3.证:左边右边∵左边=右边∴结论成立

1、当您付费下载文档后,您只拥有了使用权限,并不意味着购买了版权,文档只能用于自身使用,不得用于其他商业用途(如 [转卖]进行直接盈利或[编辑后售卖]进行间接盈利)。
2、本站所有内容均由合作方或网友上传,本站不对文档的完整性、权威性及其观点立场正确性做任何保证或承诺!文档内容仅供研究参考,付费前请自行鉴别。
3、如文档内容存在违规,或者侵犯商业秘密、侵犯著作权等,请点击“违规举报”。

碎片内容

分数指数幂、分数指数 人教版 试题

您可能关注的文档

星河书苑+ 关注
实名认证
内容提供者

从事历史教学,热爱教育,高度负责。

确认删除?
VIP
微信客服
  • 扫码咨询
会员Q群
  • 会员专属群点击这里加入QQ群
客服邮箱
回到顶部