电脑桌面
添加小米粒文库到电脑桌面
安装后可以在桌面快捷访问

人教版高中物理必修一春季普通会考VIP免费

人教版高中物理必修一春季普通会考_第1页
1/9
人教版高中物理必修一春季普通会考_第2页
2/9
人教版高中物理必修一春季普通会考_第3页
3/9
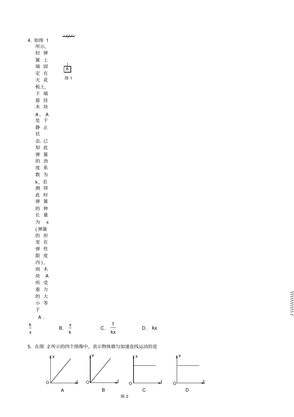
高中物理学习材料(灿若寒星**整理制作)2014年春季普通高中会考物理试卷考生须知1.考生要认真填写考场号和座位序号。2.本试卷共6页,分为两个部分,第一部分为选择题,18个小题(共54分);第二部分为非选择题,8道大题(共46分)。3.试题所有答案必须填涂或书写在答题卡上,在试卷上作答无效。第一部分必须用2B铅笔作答;第二部分必须用黑色字迹的签字笔作答。4.考试结束后,考生应将试卷、答题卡放在桌面上,待监考员收回。第一部分选择题(每小题3分,共54分)一、本题共15小题,在每小题给出的四个选项中,只有一个....选项是符合题意的。(每小题3分,共45分)1.下列物理量中,属于标量的是A.位移B.速度C.功D.加速度2.在物理学史上,第一位发现电流周围存在磁场的科学家是A.奥斯特B.伽利略C.焦耳D.牛顿3.有两个共点力,大小分别是30N和40N,则这两个力合力的大小可能是A.0B.50NC.80ND.110N4.如图1所示,轻弹簧上端固定在天花板上,下端悬挂木块A,A处于静止状态.已知此弹簧的劲度系数为k,若测得此时弹簧的伸长量为x(弹簧的形变在弹性限度内),则木块A所受重力的大小等于A.kxB.xkC.1kxD.kx5.在图2所示的四个图像中,表示物体做匀加速直线运动的是图1A图2AtOxtOxCBtOvvDtO6.关于物体的惯性,下列说法中正确的是A.汽车运动的速度越大越不容易停下来,是因为汽车运动的速度越大惯性越大B.小球由于重力的作用而自由下落时,它的惯性就不存在了C.小球被竖直向上抛出后继续上升,是因为小球受到一个向上的惯性D.物体惯性的大小仅与物体的质量有关,质量大的惯性大7.下列所述的实例中,机械能守恒的是A.木箱沿斜面匀速向下滑行的过程B.小钢球在空中做平抛运动的过程C.雨滴在空中匀速下落的过程D.人乘坐电梯加速上升的过程8.如图3所示,在光滑水平面上,一个质量为m的小球在细线的拉力作用下,以速率v做半径为r的匀速圆周运动.小球的向心力F的大小为A.mvr2B.mvrC.2vmrD.vmr9.真空中有两个静止的点电荷.若保持它们的电荷量不变,而把它们之间的距离变为原来的2倍,则两电荷间的库仑力将变为原来的A.12B.14C.18D.11610.在图4所示的四幅图中,正确标明了带正电的粒子所受洛伦兹力F方向的是11.在匀强磁场中,垂直磁场方向放入一个面积为S的矩形导线框,若穿过线框所围面积的磁通量为,则磁场磁感应强度的大小为A.SB.SC.SD.012.如图5所示,将长0.20m的直导线全部放入匀强磁场中,保持导线和磁场方向垂直.已知磁场磁感应强度的大小为5.0×10-3T,当导线中通过的电流为2.0A时,该直导线受到安培力的大小是A.2.0×10-3NB.2.0×10-2NC.1.0×10-3N图3rmvDBACB+qFυB+qFυB+qFυB+qFυ图4图5BID.1.0×10-2N13.一个电热水壶的铭牌上所列的主要技术参数如下表所示.根据表中提供的数据,计算出此电热水壶在额定电压下工作时,通过电热水壶的电流约为A.1.67AB.3.25AC.6.82AD.9.51A请考生注意:在下面14、15两题中,每题有①、②两个小题。其中第①小题供选学物理1-1的考生做;第②小题供选学物理3-1的考生做。每位考生在每题的①、②小题中只做一个小题。14.①(供选学物理1-1的考生做)如图6所示,下列情况中,能在线圈中产生感应电流的情况是A.磁铁静止在线圈上方B.磁铁快速插入线圈C.磁铁静止在线圈里面D.磁铁静止在线圈右侧②(供选学物理3-1的考生做)如图7所示,在一条电场线上有a、b两点,一个正电荷沿电场线从a点运动到b点的过程中A.电场力对该电荷不做功B.电场力对该电荷做正功C.电场力对该电荷做负功D.无法判断电场力做功的情况15.①(供选学物理1-1的考生做)频率为f的电磁波在某介质中的传播速度为v,该电磁波在这种介质中的波长λ为A.1vfB.vfC.fvD.vf②(供选学物理3-1的考生做)在如图8所示的电路中,已知电源的电动势E为12.0V,内阻r为1.0Ω,外电路电阻R为5.0Ω.闭合开关S后,电路中的电流I为A.6.0AB.4.0AC.3.0AD.2.0A二、本题共3小题,在每小题给出的四个选项中,至少有一个.....选项是符合题意的。(每小题3分,共9分。每小题全选对的得3分,选对但不全的得2分,只要有选错的该小...

1、当您付费下载文档后,您只拥有了使用权限,并不意味着购买了版权,文档只能用于自身使用,不得用于其他商业用途(如 [转卖]进行直接盈利或[编辑后售卖]进行间接盈利)。
2、本站所有内容均由合作方或网友上传,本站不对文档的完整性、权威性及其观点立场正确性做任何保证或承诺!文档内容仅供研究参考,付费前请自行鉴别。
3、如文档内容存在违规,或者侵犯商业秘密、侵犯著作权等,请点击“违规举报”。

碎片内容

人教版高中物理必修一春季普通会考

您可能关注的文档

确认删除?
VIP
微信客服
  • 扫码咨询
会员Q群
  • 会员专属群点击这里加入QQ群
客服邮箱
回到顶部