电脑桌面
添加小米粒文库到电脑桌面
安装后可以在桌面快捷访问

三角函数图象和性质VIP免费

三角函数图象和性质_第1页
1/21
三角函数图象和性质_第2页
2/21
三角函数图象和性质_第3页
3/21
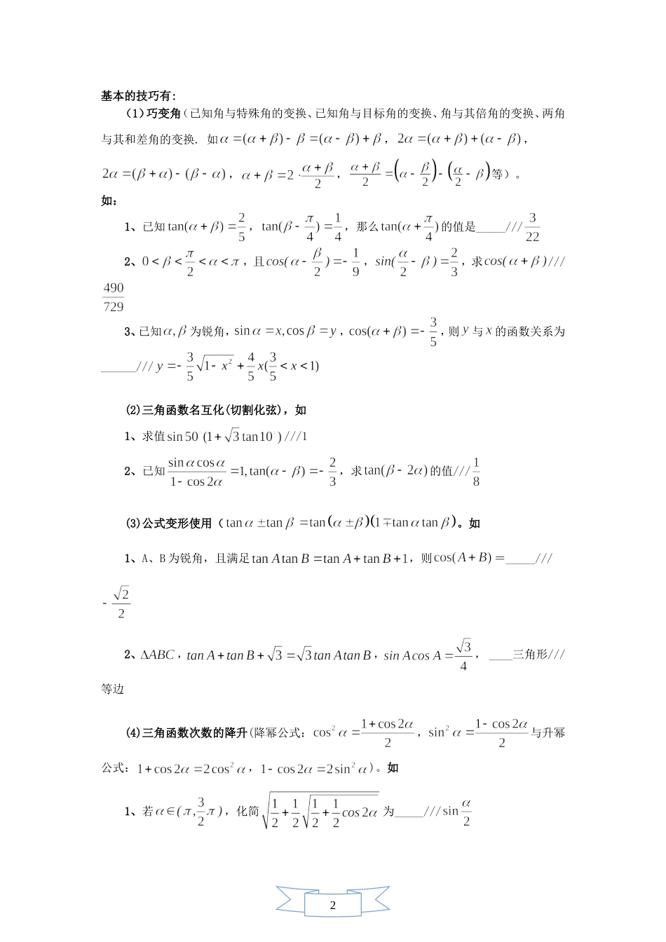
2三角函数专题辅导课程安排项目内容课时安排专题辅导一三角函数的基本性质及解题思路5课时专题辅导二三角函数的图像性质及解题思路12课时专题辅导三形如函数的基本性质及解题思路4课时专题辅导四综合训练6课时专题辅导五结业考察2课时专题辅导六数学函数学习方法及二轮复习方法探讨2课时制作者:刘新春专题辅导一三角函数的基本性质及解题思路课时:4-5学时2学习目标:1.掌握常用公式的变换。2.明确一般三角函数化简求值的思路。第一部分三角函数公式1、两角和与差的三角函数:cos(α+β)=cosα·cosβ-sinα·sinβcos(α-β)=cosα·cosβ+sinα·sinβsin(α±β)=sinα·cosβ±cosα·sinβtan(α+β)=(tanα+tanβ)/(1-tanα·tanβ)tan(α-β)=(tanα-tanβ)/(1+tanα·tanβ2、倍角公式:sin(2α)=2sinα·cosα=2/(tanα+cotα)cos(2α)=(cosα)^2-(sinα)^2=2(cosα)^2-1=1-2(sinα)^2tan(2α)=2tanα/(1-tan^2α)cot(2α)=(cot^2α-1)/(2cotα)3、两角和与差的正弦、余弦、正切公式及倍角公式:4、同角三角函数的基本关系式:(1)平方关系:(2)倒数关系:sincsc=1,cossec=1,tancot=1,(3)商数关系:第二部分:三角函数的化简、计算、证明的恒等变形的基本思路:一角二名三结构首先观察角与角之间的关系,注意角的一些常用变式,角的变换是三角函数变换的核心!第二看函数名称之间的关系,通常“切化弦”;第三观察代数式的结构特点。2基本的技巧有:(1)巧变角(已知角与特殊角的变换、已知角与目标角的变换、角与其倍角的变换、两角与其和差角的变换.如,,,,等)。如:1、已知,,那么的值是_____///2、,且,,求///3、已知为锐角,,,则与的函数关系为______///(2)三角函数名互化(切割化弦),如1、求值///12、已知,求的值///(3)公式变形使用(。如1、A、B为锐角,且满足,则=_____///2、,,,____三角形///等边(4)三角函数次数的降升(降幂公式:,与升幂公式:,)。如1、若,化简为_____///22、递增区间______(5)式子结构的转化(对角、函数名、式子结构化同)。如1、///2、求证:;3、化简:///(6)常值变换主要指“1”的变换(等)。如已知,求(答:)(7)正余弦“三兄妹—”的内存联系――“知一求二”。如1、若,则__(答:),特别提醒:这里;2、若,求的值。///3、已知,试用表示的值///(8)、辅助角公式中辅助角的确定:(其中角所在的象限由a,b的符号确定,角的值由确定)在求最值、化简时起着重要作用。如(1)若方程有实数解,则的取值范围是___________.///[-2,2]2(2)当函数取得最大值时,的值是______///(3)如果是奇函数,则=///-2专题辅导二三角函数的图像性质及解题思路课时:10课时学习目标:1会求三角函数的定义域2会求三角函数的值域3会求三角函数的周期:定义法,公式法,图像法。如与的周期是.4会判断三角函数奇偶性5会求三角函数单调区间6对函数的要求(1)五点法作简图(2)会写变为的步骤(3)会求的解析式(4)知道,的简单性质7知道三角函数图像的对称中心,对称轴8能解决以三角函数为模型的应用问题(一)、知识要点梳理1、正弦函数和余弦函数的图象:正弦函数和余弦函数图象的作图方法:五点法:先取横坐标分别为0,的五点,再用光滑的曲线把这五点连接起来,就得到正弦曲线和余弦曲线在一个周期内的图象。21-1y=sinx-32-52-727252322-2-4-3-2432-oyx1-1y=cosx-32-52-727252322-2-4-3-2432-oyxy=tanx322-32--2oyx2、正弦函数、余弦函数的性质:(1)定义域:都是R。(2)值域:都是,对,当时,取最大值1;当时,取最小值-1;对,当时,取最大值1,当时,取最小值-1。如(1)若函数的最大值为,最小值为,则__,_或);(2)函数()的值域是____///[-1,2](3)若,则的最大值和最小值分别是___、___///7,-5(4)函数的最小值是_____,此时=__________(答:2;);(5)己知,求的变化范围///(6),求的最值///,)2特别提醒:在解含有正余弦函数的问题时,你深入挖掘正余弦函数的有界性了吗?3、正弦、余弦、正切函数的图像和...

1、当您付费下载文档后,您只拥有了使用权限,并不意味着购买了版权,文档只能用于自身使用,不得用于其他商业用途(如 [转卖]进行直接盈利或[编辑后售卖]进行间接盈利)。
2、本站所有内容均由合作方或网友上传,本站不对文档的完整性、权威性及其观点立场正确性做任何保证或承诺!文档内容仅供研究参考,付费前请自行鉴别。
3、如文档内容存在违规,或者侵犯商业秘密、侵犯著作权等,请点击“违规举报”。

碎片内容

三角函数图象和性质

精品文库+ 关注
实名认证
内容提供者

小学学习各类资料大全

相关文档

确认删除?
VIP
微信客服
  • 扫码咨询
会员Q群
  • 会员专属群点击这里加入QQ群
客服邮箱
回到顶部