电脑桌面
添加小米粒文库到电脑桌面
安装后可以在桌面快捷访问

(江苏专用)高考数学一轮复习 考点20 二倍角公式与简单的三角恒等变换必刷题(含解析)-人教版高三全册数学试题VIP免费

(江苏专用)高考数学一轮复习 考点20 二倍角公式与简单的三角恒等变换必刷题(含解析)-人教版高三全册数学试题_第1页
1/11
(江苏专用)高考数学一轮复习 考点20 二倍角公式与简单的三角恒等变换必刷题(含解析)-人教版高三全册数学试题_第2页
2/11
(江苏专用)高考数学一轮复习 考点20 二倍角公式与简单的三角恒等变换必刷题(含解析)-人教版高三全册数学试题_第3页
3/11
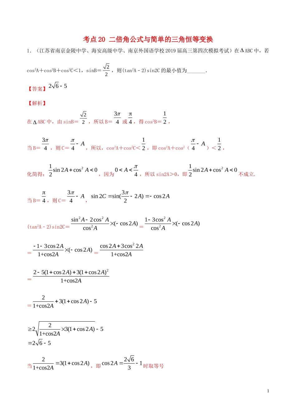
考点20二倍角公式与简单的三角恒等变换1.(江苏省南京金陵中学、海安高级中学、南京外国语学校2019届高三第四次模拟考试)在ABC中,若cos2A+cos2B+cos2C<1,sinB=22,则(tan2A﹣2)sin2C的最小值为_______.【答案】265【解析】在ABC中,由sinB=22,所以B=34或4,得cos2B=12,当B=34,则C=4A,所以,cos2A+cos2C<12,即cos2A+cos2(4A)<12,化简得:21sin2cos02AA,因为04A,所以sin2A>0,即21sin2cos02AA不成立.当B=4,则C=34A,3sin2sin(2)cos22CAA(tan2A﹣2)sin2C=222sin2cos(cos2)cosAAAA=2213cos(cos2)cosAAA=13cos2(cos2)1+cos2AAA=2cos23cos21+cos2AAA=225(1cos2)3(1cos2)1+cos2AAA=23(1cos2)51+cos2AA223(1cos2)51+cos2265AA当23(1cos2)1+cos2AA,即26cos213A时取等号1故答案为:265.2.(江苏省常熟市高三下学期期中考试)在平面直角坐标系xOy中,角的始边与x轴的非负半轴重合,终边与单位圆的交点横坐标为13,则cos2的值是__.【答案】79【解析】由三角函数的定义可得1cos3,27cos22cos19.填79.3.(江苏省如东中学2019届高三年级第二次学情测试)已知倾斜角为的直线l的斜率等于双曲线的离心率,则=_______.【答案】【解析】双曲线的离心率,,因为为直线的倾斜角,所以∴=sin=2sin=故答案为:.4.(江苏省清江中学2018届高三学情调研考试)函数的最小正周期是________【答案】【解析】 函数∴函数的最小正周期为2故答案为.5.(江苏省南通市2019届高三模拟练习卷四模)在ABC中,,,abc分别为角,,ABC所对边的长,S为ABC的面积.若不等式22233kSbca恒成立,则实数k的最大值为______.【答案】43【解析】在ABC中,面积公式1sin2SbcA,余弦定理2222cosbcabcA,代入22233kSbca,有221sin222cos2kbcAbcbcA,即22444cossinbcbcAkbcA恒成立,求出22444cossinbcbcAbcA的最小值即可,而22444cos8bc4cos84cossinsinsinbcbcAbcAAbcAbcAA,当且仅当bc取等号,令84cossinAyA,得:sin84cosyAA,即sin4cos8yAA,即222416(sincos)81616yyAAyy,令224cos,sin1616yyy,得:216sin()8yA,即28sin()16Ay,所以0<28116y,两边平方,得:26416y,解得:4843y,即22444cossinbcbcAbcA的最小值为43,所以,43k故答案为:43.6.(江苏省扬州中学2019届高三4月考试)已知ABC的面积为21,且满足431tantanAB,则边3AC的最小值为_______.【答案】23【解析】 431tantanAB,∴coscos431sinsinABAB,∴4cosAsinB+3cosBsinA=sinAsinB,∴3cosAsinB+3cosBsinA=sinAsinB﹣cosAsinB,即3sin(A+B)=sinB(sinA﹣cosA),即3sinC=sinB(sinA﹣cosA),∴3c=b(sinA﹣cosA),即c(sincos)3bAA, △ABC的面积S=12bcsinA=2(sincos)sin6bAAA=26b(sin2A﹣cosAsinA)=212b(1﹣sin2A﹣cos2A)=21,∴b2=12(21)12(21)1sin2cos212sin24AAA, 3c=b(sinA﹣cosA)>0,且0<A<π,∴39A,2A+4444,∴当32A+42即A=58时,b2取得最小值12(21)12=12,∴b的最小值为23,即AC最小值为23.故答案为:23.7.(江苏省苏锡常镇四市2017-2018学年度高三教学情况调研二)如图,扇形的圆心角为90°,半径为1,点是圆弧上的动点,作点关于弦的对称点,则的取值范围为____.4【答案】.【解析】以点O为坐标原点,以OA所在直线作x轴,以OB所在直线作y轴,建立直角坐标系.则A(1,0),B(0,1),直线AB的方程为x+y-1=0,设P,,所以PQ的中点,由题得所以=设,所以,所以=,所以当t=1时函数取最大值1,当t=时函数取最小值.故答案为:.8.(江苏省常州市2018届高三上学期武进区高中数学期中试卷)已知02x,且1sincos5xx,则24sincoscosxxx的值为________.【答案】3925【解析】由题02x,且1sincos5xx...

1、当您付费下载文档后,您只拥有了使用权限,并不意味着购买了版权,文档只能用于自身使用,不得用于其他商业用途(如 [转卖]进行直接盈利或[编辑后售卖]进行间接盈利)。
2、本站所有内容均由合作方或网友上传,本站不对文档的完整性、权威性及其观点立场正确性做任何保证或承诺!文档内容仅供研究参考,付费前请自行鉴别。
3、如文档内容存在违规,或者侵犯商业秘密、侵犯著作权等,请点击“违规举报”。

碎片内容

(江苏专用)高考数学一轮复习 考点20 二倍角公式与简单的三角恒等变换必刷题(含解析)-人教版高三全册数学试题

远洋启航书店+ 关注
实名认证
内容提供者

从事历史教学,热爱教育,高度负责。

确认删除?
VIP
微信客服
  • 扫码咨询
会员Q群
  • 会员专属群点击这里加入QQ群
客服邮箱
回到顶部