电脑桌面
添加小米粒文库到电脑桌面
安装后可以在桌面快捷访问

吉林省延吉市金牌教育中心高中数学 第一章 解三角形基础训练C组 新人教A版必修5VIP专享VIP免费

吉林省延吉市金牌教育中心高中数学 第一章 解三角形基础训练C组 新人教A版必修5_第1页
1/6
吉林省延吉市金牌教育中心高中数学 第一章 解三角形基础训练C组 新人教A版必修5_第2页
2/6
吉林省延吉市金牌教育中心高中数学 第一章 解三角形基础训练C组 新人教A版必修5_第3页
3/6
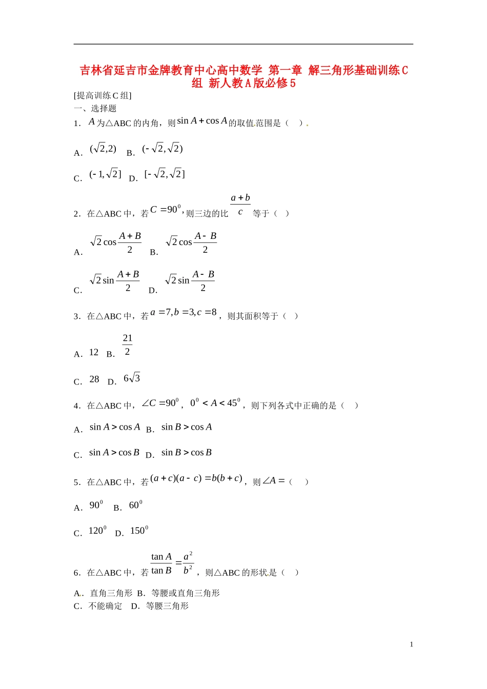
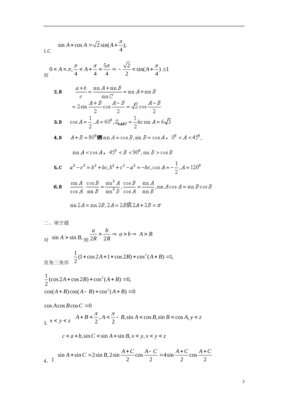
吉林省延吉市金牌教育中心高中数学第一章解三角形基础训练C组新人教A版必修5[提高训练C组]一、选择题1.A为△ABC的内角,则AAcossin的取值范围是()A.)2,2(B.)2,2(C.]2,1(D.]2,2[2.在△ABC中,若,900C则三边的比cba等于()A.2cos2BAB.2cos2BAC.2sin2BAD.2sin2BA3.在△ABC中,若8,3,7cba,则其面积等于()A.12B.221C.28D.364.在△ABC中,090C,00450A,则下列各式中正确的是()A.sincosAAB.sincosBAC.sincosABD.sincosBB5.在△ABC中,若)())((cbbcaca,则A()A.090B.060C.0120D.01506.在△ABC中,若22tantanbaBA,则△ABC的形状是()A.直角三角形B.等腰或直角三角形C.不能确定D.等腰三角形1二、填空题1.在△ABC中,若,sinsinBA则A一定大于B,对吗?填_________(对或错)2.在△ABC中,若,1coscoscos222CBA则△ABC的形状是______________。3.在△ABC中,∠C是钝角,设,coscos,sinsin,sinBAzBAyCx则zyx,,的大小关系是___________________________。4.在△ABC中,若bca2,则CACACAsinsin31coscoscoscos______。5.在△ABC中,若,tanlgtanlgtanlg2CAB则B的取值范围是_______________。6.在△ABC中,若acb2,则BBCA2coscos)cos(的值是_________。三、解答题1.在△ABC中,若)sin()()sin()(2222BAbaBAba,请判断三角形的形状。如果△ABC内接于半径为R的圆,且,sin)2()sin(sin222BbaCAR求△ABC的面积的最大值。已知△ABC的三边cba且2,2CAbca,求::abc4.在△ABC中,若()()3abcabcac,且tantan33AC,AB边上的高为43,求角,,ABC的大小与边,,abc的长参考答案(数学5必修)第一章[提高训练C组]一、选择题21.Csincos2sin(),4AAA而520,sin()144424AAA二、填空题对,sinsinBA则22ababABRR直角三角形21(1cos21cos2)cos()1,2ABAB21(cos2cos2)cos()0,2ABAB2cos()cos()cos()0ABABABcoscoscos0ABC3.zyx,,sincos,sincos,22ABABABBAyz,sinsinsin,,cabCABxyxyz4.1sinsin2sin,2sincos4sincos2222ACACACACACB3cos2cos,coscos3sinsin222222ACACACAC则221sinsin4sinsin322ACAC1coscoscoscossinsin3ACACAC22(1cos)(1cos)14sinsin22ACAC22222sin2sin4sinsin112222ACAC5.)2,3[2tantantantantan,tantan()tantan1ACBACBACAC2tantantantan()tan1ACBACB3tantantantan2tantan2tanBBACACB3tan3tan,tan0tan33BBBBB三、解答题解:22222222sin()sincossin,sin()cossinsinabABaABAabABbABBcossin,sin2sin2,222cossinBAABABABAB或2∴等腰或直角三角形解:2sinsin2sinsin(2)sin,RAARCCabB222sinsin(2)sin,2,aAcCabBacabb4222222022,cos,4522abcabcabCCab2222,2sin2,22,sincRcRCRabRabC22222222,22RRabababab21222sin,24422RSabCab2max212RS另法:122sin2sin2sin244SabCabRARB222sin2sin2sinsin4RARBRAB212[cos()cos()]2RABAB22122[cos()]2222(1)22RABR2max212SR此时AB取得等号解:sinsin2sin,2sincos4sincos2222ACACACACACB12147sincos,cos,sin2sincos222424224BACBBBB3,,,24242BBACACBAC33371sinsin()sincoscossin4444ABBB71sinsin()sincoscossin4444CBBB::sin:sin:sinabcABC)77(:7:)77(5解:22201()()3,,cos,602abcabcacacbacBBtantan33tan(),3,1tantan1tantanACACACACtantan23AC,联合tantan33AC得tan1tan23tan1tan23AACC或,即000075454575AACC或当0075,45AC时,434(326),8(31),8sinbcaA当0045,75AC时,4346,4(31),8sinbcaA∴当00075,60,45ABC时,8,4(326),8(31),abc当00045,60,75ABC时,8,46,4(31)abc。6

1、当您付费下载文档后,您只拥有了使用权限,并不意味着购买了版权,文档只能用于自身使用,不得用于其他商业用途(如 [转卖]进行直接盈利或[编辑后售卖]进行间接盈利)。
2、本站所有内容均由合作方或网友上传,本站不对文档的完整性、权威性及其观点立场正确性做任何保证或承诺!文档内容仅供研究参考,付费前请自行鉴别。
3、如文档内容存在违规,或者侵犯商业秘密、侵犯著作权等,请点击“违规举报”。

碎片内容

吉林省延吉市金牌教育中心高中数学 第一章 解三角形基础训练C组 新人教A版必修5

确认删除?
VIP
微信客服
  • 扫码咨询
会员Q群
  • 会员专属群点击这里加入QQ群
客服邮箱
回到顶部