电脑桌面
添加小米粒文库到电脑桌面
安装后可以在桌面快捷访问

高三数学高考(理)总复习系列课件:规范答题 5人教大纲版 课件VIP免费

高三数学高考(理)总复习系列课件:规范答题 5人教大纲版 课件_第1页
1/7
高三数学高考(理)总复习系列课件:规范答题 5人教大纲版 课件_第2页
2/7
高三数学高考(理)总复习系列课件:规范答题 5人教大纲版 课件_第3页
3/7
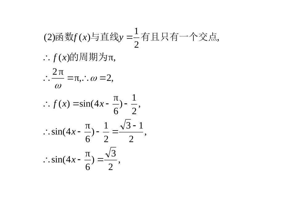
规范答题5思维定势,乱套公式考题再现已知函数f(x)=a·(b-a),其中向量a=(cosωx,0),b=(sinωx,1),且ω为正实数.(1)求f(x)的最大值;(2)对任意m∈R,函数y=f(x),x∈[m,m+π]的图像与直线有且仅有一个交点,求ω的值,并求满足的x值.321y)12π7,12π(213)(xxf学生作答解2||)()()1(abaabaxf21)6π2sin(22cos12sin23cos2sin23cos0sincos322xxxxxxxx.21)(1)6π2sin(1的最大值为又xfx,23)6π4sin(,21321)6π4sin(,21)6π4sin()(,2π,π2π,)(,21)()2(xxxxfxfyxf的周期为有且只有一个交点与直线函数.24π58π,3π23π6π4xxx或即或]6π13,6π[6π4]3π7,3π[4],12π7,12π[xxx规范解答解.2sin2310cos3)1(xxba∴f(x)=a·(b-a)=a·b-|a|2.21)(,1)6π2sin(1.21)6π2sin(212cos212sin2322cos12sin23cos2sin232的最大值为xfxxxxxxxx,21)()2(的大值为函数xf,21π),[),(有一个交点有且仅的图像与直线ymmxxfy.12π54π,3π23π6π2π],,0[6π2,6π7,6π2,12π7,12π.23)6π2sin(,21321)6π2sin(,21)6π2sin()(.1π,2π2.π)(xxxxxxxxxxfTxf或即或为的周期函数老师忠告本题中2ω相当于公式中的ω,需明确其意义.思维定势,乱套公式,造成由得ω=2,致使后面运算全部出错,仅得7分.π2Tπ,π2返回

1、当您付费下载文档后,您只拥有了使用权限,并不意味着购买了版权,文档只能用于自身使用,不得用于其他商业用途(如 [转卖]进行直接盈利或[编辑后售卖]进行间接盈利)。
2、本站所有内容均由合作方或网友上传,本站不对文档的完整性、权威性及其观点立场正确性做任何保证或承诺!文档内容仅供研究参考,付费前请自行鉴别。
3、如文档内容存在违规,或者侵犯商业秘密、侵犯著作权等,请点击“违规举报”。

碎片内容

高三数学高考(理)总复习系列课件:规范答题 5人教大纲版 课件

确认删除?
VIP
微信客服
  • 扫码咨询
会员Q群
  • 会员专属群点击这里加入QQ群
客服邮箱
回到顶部